新产业
当前位置: 首页 >> 资讯 >> 新产业 >> 行业动态 >> 正文
山大党锋教授、复旦孔彪教授《Energy Stor. Mater.》:具有协同催化效应的新型锂二氧化碳电池催化剂
2021-09-28 来源:中国聚合物网 点击
关键词:电池催化剂
近期山东大学党锋教授与复旦大学孔彪教授联合在《Energy Stor. Mater.》期刊上发表了题为“Super-assembled Atomic Ir Catalysts on Te Substrates with Synergistic Catalytic Capability for Li-CO2 Batteries”的文章(DOI: 10.1016/j.ensm.2021.09.017)。博士研究生翟艳杰为论文第一作者。锂二氧化碳电池因为其环境友好性和超高的理论能量密度被认为是下一代储能系统有希望的的候选者。为提高其在高倍率下的循环稳定性和理解复杂的电池反省机理。该课题组设计制备了一种以Te单晶为基底超组装Ir无定形原子层的新型锂二氧化碳催化剂。该催化剂实现了13247.1 mAh g-1的超高比容量在及在1000mA g-1高倍率下稳定循环350圈。通过Ir原子层和Te基底的协同催化效应最大化Ir原子活性位点的催化效果。此外原位XPS,XRD DEMS 分析揭示了在锂二氧化碳电池中放电产物碳酸锂和无定形碳及中间产物草酸锂的形成分解过程。DFT计算证明了协同催化过程中可能的反应路径。在CRR过程中Te基底可以稳固加速中间体的形成并精细反应路径,同时其对于二氧化碳的正吸附能可以加速CER过程的发生。此新型电催化剂的应用不但有助于对锂二氧化碳电池内在机理的理解并为具有高倍率循环稳定性的锂二氧化碳电池设计提供新思路。


1 (a) Te纳米线 (b) atomic Ir-Te纳米线合成过程的示意图.



2 atomic Ir-Te纳米线的 (a) 透射 (b) 选区电子衍射 (d) 高分辨透射(e-h)高角环形暗场像-扫描透射电子显微镜面描图。Te纳米线的 (c) 高分辨透射图。(i) x射线衍射图 (j-l) 光电子能谱图


3 (a)截电压充放电容量对比图 (b) 倍率性能对比图 (c)循环伏安图。(d-g)Atomic Ir-Te 催化剂截容量为500 mAh g-1 1000 mAh g-1的循环对比图。


图4 atomic Ir-Te催化剂(a)截点压充放电曲线图(b-f)0-4阶段的充放电原位光电子能谱图(g)微分电化学质谱图


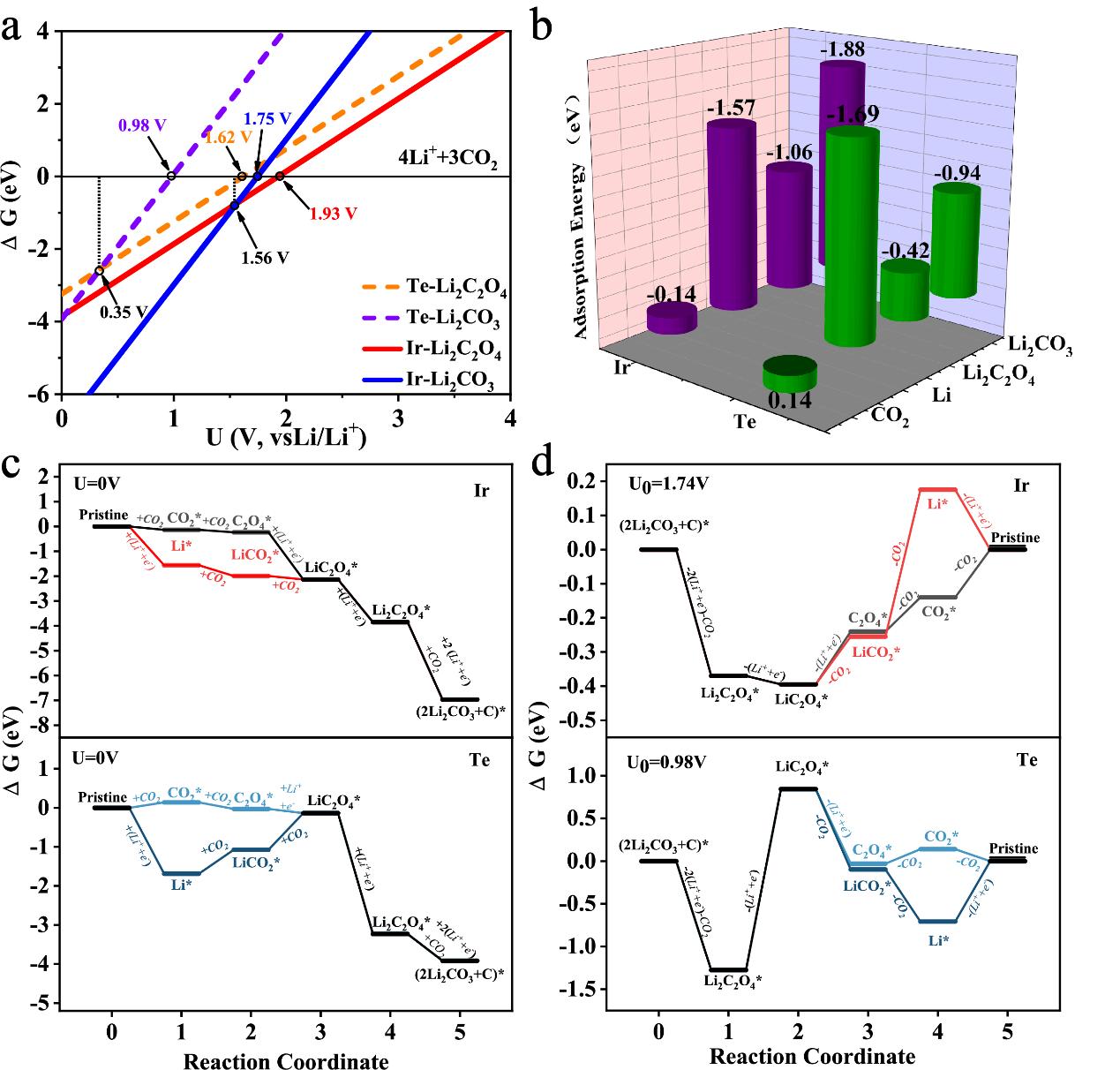
图5 (a) Ir(111)和Te(001)单分子层催化反应相图。 (b)吸附能对比图。 (c-d) CRR和CER在单层Ir或Te表面不同路径的自由能图。(c)零电极电位(U=0V)的CRR路径;(d)正电极电位(U=1.74V)的CER路径。



图6 (a) 计算Ir(111)上CRR和CER的(a) PATH1, (b) PATH2的能级图。 (c) 充放电过程中电催化反应机理示意图。


相关链接

https://doi.org/10.1016/j.ensm.2021.09.017

免责声明:部分资料来源于网络,转载的目的在于传递更多信息及分享,并不意味着赞同其观点或证实其真实性,
也不构成其他建议。仅提供交流平台,不为其版权负责。如涉及侵权,请联系我们及时修改或删除。
邮箱:info@polymer.cn
(责任编辑:sun)
查看评论】【 】【打印】【关闭
  • 相关新闻
  • 无相关新闻