相关链接
联系方式
  • 通信地址:贵阳市花溪区贵州大学西校区材料与冶金学院
  • 邮编:550025
  • 电话:0851-83627806
  • 传真:
  • Email:hbxie@gzu.edu.cn
当前位置:> 首页 > 最新动态 > 正文
热烈祝贺郭元龙同学纤维素功能材料设计与合成以封底论文形式发表在Green Chemistry

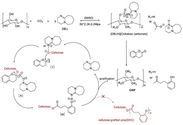
纤维素、木质素和半纤维素是世界上储量最丰富的生物质资源,而对纤维素的高值化利用以及设计和合成新的纤维素衍生物是近年研究的热点。纤维素羧酸酯由于其易加工性,可调的材料性质获得了广泛的关注,而传统制备纤维素羧酸酯主要通过羧酸衍生物、酸酐,酰氯和乙烯酯等试剂进行合成,但是以上合成策略都存在各种各样的缺点,比如容易产生副产物、需要额外的催化剂、使用对环境有害的酰化试剂等等。因此,如何利用生物基的酰化试剂,使用新的合成策略,制备出具有一定功能性的纤维素羧酸酯正是大家所关注的焦点。基于新型的可逆离子液体超强有机碱/DMSO/CO2体系,贵州大学谢海波教授课题组已经成功制备出纤维素苯甲酸酯、长烷基链脂肪族酯、支化和立体结构酯(Cellulose, 2018, 25, 6935–6945)以及纤维素乙酰丙酸酯(Green Chem., 2020, 22, 707–717)等一系列纤维素衍生物。



活性自由基广泛存在于我们生活的环境及有机体中,它是造成细胞衰老,器官老化甚至疾病的主要原因。传统的天然抗氧化剂主要有维生素类、类胡萝卜素、单宁等来自于植物的多酚类。二氢香豆素(DHC)是一种六元环内酯,无毒绿色经济,在一定催化剂作用下易开环发生交替共聚物。

   基于纤维素和DHC的优点,贵州大学谢海波教授课题组利用超强有机碱DBU/DMSO/CO2体系,设计合成具有一定的溶解性、抗氧化性、紫外吸收性和生物相容性的全生物基的纤维素3-(2-羟苯基)丙酸酯。该纤维素酯的结构可控,具有良好的应用前景,且整个制备过程高效、绿色、经济,不需要额外的催化剂。在DBU/DMSO/CO2体系溶解活化纤维后使DHC开环与纤维素羟基反应,生成纤维素3-(2-羟苯基)丙酸酯(CHP)。首先研究了不同反应条件比如产物摩尔比、反应温度、反应时间对产物取代度的影响,结果发现当DHC与AGU的摩尔比为6/1,反应温度为120℃,反应时间为3h时,产物取代度可以高达2.35。并且发现当取代度大于1.48时,产物可以溶解于各种低沸点醇类以及其他常见的有机溶剂中。这使得该产物具有良好的可加工性。由于CHP结构上3-(2-羟苯基)丙酸酯的存在,使其具有良好的紫外吸收性能及自由基清除能力。CHP在UVB和UVA区域有较强的吸光度,最大吸收波长在283-297nm,如图2所示。图3则说明了CHP对DPPH自由基具有优越的清除能力,在40mM,25℃,30min时DPPH自由基清除率即可达到100%。除此之外,我们还研究了对DPPH的清除反应动力学,结果发现其符合伪一阶动力学方程,并计算了清除反应所需的活化能。


相关论文以封底论文的形式在Green Chemistry 发表, 第一作者为郭元龙博士研究生,谢海波教授, 郑强教授为共同通讯作者。Green Chem. 2021, https://doi.org/10.1039/D0GC03478A。




原文链接:https://pubs.rsc.org/en/content/articlelanding/2021/gc/d0gc03478a#!divAbstract