相关链接
联系方式
  • 通信地址:武汉珞狮路122号
  • 邮编:430070
  • 电话:027-87651837
  • 传真:
  • Email:msc@whut.edu.cn
当前位置:> 首页 > 最新动态 > 正文
Advanced Science: RuRh双金属纳米环高效制氢

材料牛 金也  2020-12-19

【引言】

铂(Pt)是目前在析氢反应(HER)领域内使用最广泛的催化剂。然而,铂面临着稀缺、高成本问题。研究人员正在探索经济有效的其他催化剂来替代Pt,其中最有效的策略是增加非Pt贵金属催化剂的活性位点。常用的方法有合金化、修饰晶相及引入独特的纳米结构(纳米膜、纳米片/纳米线、多孔/杂交纳米材料等)等。事实上,通过界面工程(如配体和晶格应变效应)打破双金属催化剂的对称性,改变反应中间体的吸附状态,可影响双金属催化剂的整体活性。然而,大多数方法都只能在局部区域调节催化剂的表面吸附能,而不能整体调节催化剂的活性位点。此外,可控合成双金属纳米晶的过程中,双金属原子交替排列可导致对称性破缺,进而局部电荷过剩,从而进一步催化性能。然而,相关的研究报道较少。

研究表明,钌(Ru)表现出与Pt类似的氢键能,但价格比只有不到Pt的十分之一,使Ru成为理想的非Pt析氢催化剂之一。然而,Ru在碱性介质中的水解能力弱。近年来研究表明,表面缺陷工程和合金化可以有效地诱导电子从Ru内部转移到表面,暴露出更多的活性位点。此外,与Ru或铑(Rh)单金属相比,在各向异性纳米晶中,大多数Ru (Rh)基合金在晶界(GBs)上存在扭曲的几何构型,有利于电催化活性的提高。同时,薄片状结构使金属合金具有较大的电化学活性表面积和较高的原子利用率,可进一步催化性能,提高材料的质量活性。虽然Ru (Rh)基合金纳米晶催化剂已经取得了一些进展,但由于纳米晶晶粒较大,而且其光滑的表面也限制了活性位点的数量,表面GBs缺陷也阻碍了其稳定性。因此,优化Ru (Rh)基合金薄片状结构的表面缺陷结构,稳定两个相邻单体的配位效应,对于高性能催化剂的制备具有重要意义。

【研究进展】

近日,南京晓庄学院的刘苏莉教授和武汉理工大学木士春教授(共同通讯作者)在advanced science上发表了一篇题目为“RuRh Bimetallene Nanoring as High-efficiency pH-Universal Catalyst for Hydrogen Evolution Reaction”的文章。该研究合成了具有丰富结构缺陷的RuRh2双金属纳米环,并在-0.05 V和-0.07 V下表现出较高的质量活性。同时,在酸性介质中,即使经过3万个电位循环,它仍能保持稳定的产氢反应。此外,RuRh2双金属纳米环在碱性和中性介质中均表现出优异的活性,优于Pt催化剂和其他报道的HER催化剂。结合实验数据分析和密度泛函理论计算表明,对称性破缺的界面效应和表面缺陷工程不仅可以削弱氢原子的吸附强度,而且还促进电子的转移和反应物的吸附,进一步提高催化活性。

【图文简介】

图1 RuRh2双金属纳米环催化剂合成及结构表征

a) RuRh2双金属纳米环催化剂合成过程示意图;

b) RuRh2双金属纳米环的HAADF-STEM图;

c-e) RuRh2双金属纳米环的TEM图;

f)单个RuRh2双金属纳米环的mapping图;

g) RuRh2双金属纳米环的XRD图;

h, j) Ru 3p和Rh 3d RuRh2双金属纳米环的高分辨率XPS光谱。

图2 催化性能表征

a, d, f) RuRh2双金属纳米环、Ru、Rh和商用Pt在 0.5 M H2SO4、1.0 M KOH和1.0 M PBS中的线性扫描图;

b, e, g) RuRh2双金属纳米环、Ru、Rh和商用Pt在 0.5 M H2SO4、1.0 M KOH和1.0 M PBS中的塔菲尔斜率图;

c) RuRh2双金属纳米环、Ru、Rh和商用Pt在过电位为50 mV和70 mV下贵金属的质量活性;

h, i) RuRh2双金属纳米环在 0.5 M H2SO4和1.0 M KOH下的稳定性测试。

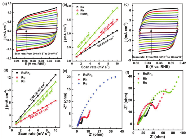
图3 催化性能表征

a, c) 在0.5 M H2SO4和1.0 M KOH溶液中,各种扫描速率的循环伏安图;

b, d) a, c图中的提取的数据曲线;

e, f) Ru和Rh分别在0.5 M H2SO4和1.0 M KOH中的电化学阻抗谱。

图4 理论计算

a, b) 氢吸附的自由能图和水解离能;

c) 水分解的活化能。

图5 理论计算

a) RuRh2的原子构型;

b, c) RuRh2表面Ru位点和Rh位点的电荷密度差;

d-g) RuRh2/Rh(与晶格应变效应相关)位点,RuRh2/Ru(与晶格应变效应相关)位点,RuRh2/Ru和RuRh2/Rh表面的态密度分析;

h, i) RuRh2双金属纳米环、Ru、Rh和商用Pt的水解离能和氢吸附能。

【小结】

综上所述,基于实验数据分析和密度泛函理论的计算结果表明,由对称性破缺导致的晶格应变效应、合金效应和量子尺寸效应共同促成的超薄纳米环可有效调节材料的电子结构。这项工作通过精准构建具有强H+/H2O吸附性、低水离解势垒和几乎零H*结合能的缺陷界面结构,研制出了一种宽pH范围内调节HER活性的高效双金属催化剂。设计的RuRh2双金属纳米环催化剂具有超低起始电位、高催化活性和在全pH范围内的优异稳定性。本项研究证明了缺陷界面工程可以极大提高催化性能,为今后高效析氢催化剂的设计与构筑提供了科学指导。

文献链接: RuRh Bimetallene Nanoring as High-efficiency pH-Universal Catalyst for Hydrogen Evolution Reaction, 2020, advanced science, doi: 10.1002/advs.202002341

本文由材料人刘于金编译供稿。欢迎大家到材料人宣传科技成果并对文献进行深入解读,投稿邮箱tougao@cailiaoren.com。

团队介绍

刘苏莉教授:2014年六月获得南京师范大学理学博士学位,同年进入南京晓庄学院任教,2019年至2020年,在武汉理工大学木士春教授材料复合新技术国家重点实验室进行为期一年的学术访问研究。主要从事新能源材料、燃料电池关键材料、电化学催化剂等相关领域的研究。以通讯作者或第一作者在J. Am. Chem. Soc.、Nano Energy、J. Mater. Chem. A、Appl. Catal. B-Environ.等国际期刊发表SCI核心论文40余篇。