Links
Contact Info.
  • Address:上海浦东新区金海路2360号
  • Zip:201209
  • Tel:02150216301
  • Fax:
  • Email:yuwei@sspu.edu.cn
Current Location :> Home > News > Text
Renewable Energy:具有良好光热转换率的低共熔溶剂基石墨烯纳米流体

1.成果简介

    近几十年来,日益严重的污染和能源短缺使得研究人员开始关注可再生能源。太阳能作为一种对环境友好、成本低廉的可再生能源,因其资源丰富和经济优势而发展迅速。在太阳能的各种应用中,通过将吸收的太阳能转化为热能的直接吸收太阳能集热器(DASCs)是最有前途和最方便的选择之一。其原理是通过工作流体直接吸收阳光,并将其转化为热能。与传统的基于表面的太阳能集热器相比,DASCs由于其较低的热损失和较高的光热转换效率,具有广泛的应用潜力。但常规流体的光吸收能力较低,限制了DASCs的发展。后来。通过将纳米颗粒和基液混合形成悬液,得到的纳米流体。纳米颗粒良好的光吸收和热导率提高了纳米流体的光热特性,从而提高了DASCs的整体吸热率。

     纳米流体的光热特性一直是DASCs研究的热点。目前,纳米流体在中温领域的应用研究较少。低比热容的液体在相同的太阳辐射下可以达到更高的温度,这扩展了纳米流体在中温领域下的应用。近日,上海先进热功能材料工程技术研究中心的研究团队提出将尿素/氯化胆碱(ChCl)低共熔溶剂(DES)作为一种新的基液。与水相比,该DES具有较高的沸点和较小的比热容,在DASCs中表现出更好的光热性能。采用加热法制备DES,其光热转换率能达到56.9%,比水和乙二醇(EG)的光热转换率分别高出36.4%和11%。实验研究表明,40 ppm DES基石墨烯纳米流体的光热转换效率高达94.3%,当太阳辐射提高到2000 W?m-2时,其最高温度可达115℃。此外,DES基石墨烯纳米流体表现出极大的稳定性,在45天内不会发生沉淀。这些研究验证了DES基石墨烯纳米流体具有较高品位能,从而扩大了低共熔溶剂基纳米流体的应用范围。

2.图文导读

图1.DES和纳米流体的制备过程

图2.光热转换实验测试系统

图3.石墨烯的SEM和尿素、氯化胆碱、DES的红外

图4. DES基石墨烯纳米流体稳定性测试

图5. DES基石墨烯纳米流体光学性能测试

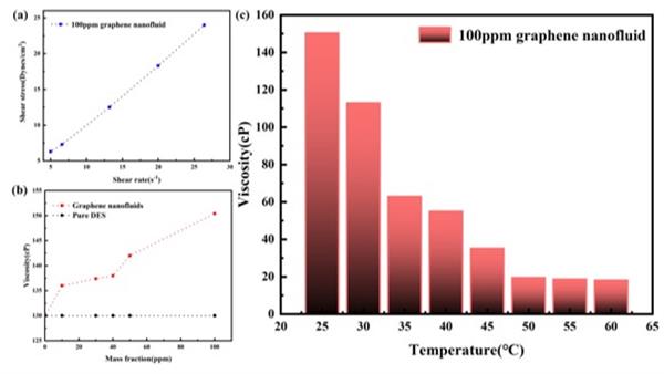
图6. DES基石墨烯纳米流体粘度测试

图7. 1000 W?m-2下DES基石墨烯纳米流体光热性能测试

图8. 2000 W?m-2下DES基石墨烯纳米流体光热性能测试


3.小结

       传统的纳米流体在DASCs中存在比热容大和容易颗粒聚集的缺点,这是造成光热效率低的重要原因。本文以高沸点、稳定性好、比热容小的尿素/氯化胆碱DES为纳米流体基液,其表现出了优异的光热性能。制备了不同质量浓度(0ppm、10ppm、30ppm、40ppm、50ppm、100ppm)的DES基石墨烯纳米流体,并对其性能进行了测试。主要研究结果如下: (i)纯DES的光热效率比水的光热转化率高36.4%。这是因为DES的比热容较小,在相同的热量下,它能达到更高的温度。此外,与水和EG相比,DES的平衡温度也最高,可达45.4℃。(ii)石墨烯的加入提高了DES的光热转换效率。40ppm石墨烯纳米流体的光热转换效率最高,为94.3%。特别是当太阳辐射为2000 W?m-2时,40ppm石墨烯纳米流体的最高温度可达116°C。这为纳米流体在高温下的应用提供了一条可行的途径。(iii)DES基石墨烯纳米流体45天前后的透射光谱表明,DES基石墨烯纳米流体保持了良好的稳定性,几乎没有纳米颗粒的沉积和团聚。这些研究证明了DES基石墨烯纳米流体在DASCs上应用的潜力。

       以上成果发表在Renewable Energy期刊(中科院一区,TOP期刊,IF 8.0)上,上海第二工业大学硕士研究生高婧琼为第一作者,上海第二工业大学能源与材料学院于伟教授和西安交通大学化学与工程学院Omid Mahian教授为共同通讯作者。Title:Graphene-based deep eutectic solvent nanofluids with high photothermal conversion and high-grade energy,Renewable Energy 190 (2022)935-944。