对可持续农业需求的日益增长增强了对无土栽培系统的兴趣。其中,水凝胶基无土栽培基质具有良好的吸水性、保水性和透明度可调等特点,具有很大的应用潜力。鲁东大学材料科学与工程系徐文龙课题组、资源与环境工程学院吴楠课题组、水利土木学院赵英课题组合作在《Industrial Crops and Products》上发表题为“Adjustable P(AM-co-NIPAM)/gelatin hydrogel soilless cultivation substrates for soybean seedling and root growth”的研究性文章。该团队通过调控交联剂浓度,成功制备了具有可调孔隙结构、机械强度和透明度的P(AM-co-NIPAM)/明胶复合水凝胶,并将其应用于大豆幼苗的无土栽培。研究发现,优化交联密度的水凝胶不仅具有优异的机械性能和保水能力,还能为大豆幼苗的根系生长提供理想的环境,显著促进其地上部分和根系的发育,同时有利于根系细菌的定殖。此外,水凝胶的透明特性为动态观察植物根系生长提供了便利,为无土栽培系统的优化设计提供了新思路。该研究为可持续农业实践提供了一种高效、可控的水凝胶基质解决方案,尤其适用于水资源和基质优化需求迫切的农业生产场景。该工作得到了国家自然科学基金(22472073, 22102067, 41977039),重点国际合作项目(42320104006)和山东省青创团队项目的资助(2023KJ213)。

【1.制备与表征】
将丙烯酰胺(AM)、N-异丙基丙烯酰胺(NIPAM)和明胶溶解在超纯水中,随后加入N,N’-亚甲基双丙烯酰胺(MBA)和N,N,N’,N’-四甲基乙二胺(TEMED),最后加入过硫酸铵(APS)引发P(AM-co-NIPAM)/明胶水凝胶的形成。将大豆种植于充分吸水后的水凝胶中,放入智能光照培养箱中进行培养。

图1(A)P(AM-co-NIPAM)/明胶水凝胶的合成机理图;(B)种子在复合水凝胶上萌发和生长的示意图。
该工作对单体和交联剂比例进行了调控,旨在研究组分比例对水凝胶透明度的影响,因为高透明度的水凝胶基质有利于进行大豆根系的观察。还对不同MBA含量水凝胶的透光率进行了测试,量化了水凝胶的透明度参数。

图2具有(A)不同比例的AM和NIPAM,(B)不同明胶含量和(C)不同MBA含量的水凝胶样品;(D)具有不同MBA含量的水凝胶的透射率。
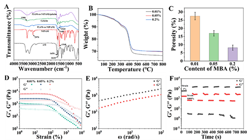
对P(AM-co-NIPAM)/明胶水凝胶进行了详细的表征。通过傅里叶红外光谱确定自由基聚合的成功进行,证明P(AM-co-NIPAM)/明胶水凝胶的成功合成;通过热重分析证明水凝胶具有较高的热稳定性;对水凝胶的孔隙率进行了测试,发现孔隙率随MBA含量的增多而减小;应变扫描流变图可清晰看出在较宽范围内,水凝胶表现出弹性模量大于粘性模量,说明凝胶表现出类固体性质;角频率扫描流变图表明,水凝胶总是表现出弹性模量大于粘性模量,说明水凝胶以弹性为主;从连续阶跃应变扫描流变图可以看出,通过进行五次循环测试,凝胶的粘弹性依旧能够快速恢复如初,表明该水凝胶具有良好的自恢复性能。

图3 (A)AM、NIPAM、P(AM-co-NIPAM)、明胶和P(AM-co-NIPAM)/明胶水凝胶的FTIR光谱,(B)TGA,(C)孔隙率,(D)应变扫描,(E)角频率扫描,和(F)连续阶跃应变扫描。
通过扫描电镜观察了不同交联剂浓度(0.01%,0.05%,0.2%)下P(AM-co-NIPAM)/明胶水凝胶的微观结构特征及其溶胀前后的变化。可以看出不同MBA含量的水凝胶具有多孔网络结构,这确保了水的传输并使水凝胶能够吸收和保持水。并且水凝胶的孔隙随MBA含量的增加而减小。

图4溶胀前含有(A)0.01%、(B)0.05%和(C)0.2%MBA的水凝胶的SEM图像;溶胀后含有(D)0.01%、(E)0.05%和(F)0.2%MBA的水凝胶的SEM图像;(G)不同MBA含量的水凝胶溶胀前后的平均孔径。
【2.力学性能】
为了满足作为无土栽培基质以支持幼苗生长的应用的要求,水凝胶需要具有合适的机械性能并且是耐用的。通过压缩和穿刺试验研究了MBA含量对水凝胶力学性能的影响。在相同的应变下,随着MBA从0.01%增加到0.2%,应力逐渐增加。随后进行了渐进压缩测试和500次的压缩循环测试,表明水凝胶具有高机械稳定性和良好的抗疲劳性。此外,通过穿刺实验系统评价了水凝胶的力学性能,为优化水凝胶的配方提供了重要的物理性能指标,确保了其在无土栽培中的有效性。

图5 (A)压缩应力-应变曲线;(B)随应变幅度增加的循环压缩应力-应变曲线;(C)500次压缩循环的应力-应变曲线; P穿刺力-深度曲线,其中使用(D)圆柱形平头工具,(E)圆头工具,和(F)尖头工具。
【3.吸水保水性】
测试了水凝胶在超纯水中的溶胀比随时间的变化。最初,三种水凝胶快速吸收水,然后随着时间缓慢吸收,最终达到平衡。可以观察到,MBA含量越低,水凝胶的溶胀比越高。各水凝胶都具有较好的保水性,12天后的水分保持率均能达到80%。高溶胀比和保水率是其作为栽培基质的重要条件。

图6 (A)具有不同MBA含量的水凝胶的溶胀比曲线;(B)具有不同MBA含量的水凝胶的水分保持率曲线;(C)具有不同MBA含量的水凝胶在溶胀之前和之后的照片。
【4.MBA对大豆幼苗根系和地上部生长的影响】
研究了不同MBA含量水凝胶对大豆幼苗根系生长的影响。实物照片显示,0.01% MBA水凝胶中的根系稀疏且主根较短,侧根数量较少;0.05% MBA水凝胶的根系发育最佳,主根伸长明显,侧根分布均匀且数量显著增加;而0.2% MBA水凝胶中的根系则明显短小稀疏,侧根数量减少。通过根系扫描仪进一步验证了这一趋势。定量分析表明,0.05% MBA水凝胶中的根系长度、表面积、体积及根尖数量均显著优于其他两组。研究表明,适中的交联密度(0.05% MBA)能提供理想的机械支撑和孔隙结构,促进根系纵向生长和分枝;而过高交联密度会抑制根系延伸,过低则导致支撑不足。这些结果证实,0.05% MBA水凝胶为植物根系创造了最优生长环境。

图7 (A)用具有不同MBA含量的P(AM-coNIPAM)/明胶水凝胶基质生长的大豆幼苗的根照片、(B)根扫描照片、(C)根长、(D)根表面积、(E)根体积和(F)根尖数。
研究了不同MBA含量水凝胶基质对大豆幼苗地上部分生长的影响。0.05% MBA水凝胶中的幼苗生长优势显著,9天后叶片发育最为健壮;0.01% MBA组幼苗茎秆易弯曲,而0.2% MBA组生长迟缓且直立性差。叶绿素含量测定结果表明,0.05% MBA组的SPAD值显著高于其他两组。植株高和生物量数据进一步证实,0.05% MBA组的平均株高、鲜重及干重均显著优于0.01% MBA组和0.2% MBA组。研究表明,0.05% MBA水凝胶在机械支撑性、透水性和保水性之间达到最佳平衡,既能提供稳定生长支撑,又保障了水分和氧气的有效运输,从而促进光合作用和生物量积累;而过高或过低的交联密度则分别因基质过硬或支撑不足而抑制植株发育。

图8 (A)用具有不同MBA含量的P(AM-co-NIPAM)/明胶水凝胶基质生长的大豆幼苗的实验照片,(B)SPAD,(C)株高,(D)鲜重和(E)干重。
【5.MBA含量对大豆幼苗根系内生细菌的影响】
研究了不同MBA含量水凝胶对大豆幼苗根系内生菌群落的影响。Venn图显示,0.01%、0.05%和0.2% MBA组分别含有231、77和120个特有OTU,三组共享93个OTU。稀疏曲线表明测序深度已覆盖样本大部分物种。门水平群落组成表明,假单胞菌门(Pseudomonadota)为优势菌群(占比>50%),其中0.05% MBA组的相对丰度达81.2%,显著高于其他两组,这可能与其适宜的机械性能和孔隙结构促进根系定殖有关。PCoA分析显示,三组样本的群落结构存在差异但重叠区域明显(PC1=38.66%,PC2=28.06%),说明水凝胶性质差异对菌群组成的影响有限,仅导致部分优势菌群丰度变化。这些结果揭示了水凝胶交联密度通过调控微环境间接影响植物-微生物互作。

图9 (A)微生物的维恩图;(B)稀疏曲线;(C)细菌门水平的相对丰度;(D)不同处理的主坐标分析(PCoA)。
【5.总结和展望】
本研究对复合水凝胶基质的结构和性能进行了精确调控,显著提高了植物的生长效率和资源利用率,为构建高效可持续的无土栽培体系和观察植物根系动态提供了理论依据和实践指导。这些结果还为开发可扩展、可重复使用并符合工业要求的下一代农业基板提供了技术支持。构建的水凝胶系统有望整合到商业温室生产和城市农业中,为可持续集约化和智能农业的更广泛目标做出贡献。
文章链接:https://doi.org/10.1016/j.indcrop.2025.121189
- 中山大学付俊/南京林业大学韩景泉 AFM:基于Hofmeister效应的各向异性、抗溶胀导电水凝胶用于水下监测 2025-11-07
- 西南交大杨维清教授/邓维礼副教授 Adv. Mater. 综述:离子水凝胶传感器 - 迈向下一代个性化健康监测 2025-10-31
- 济南大学王鹏/复旦大学李卓/浙理工孟垂舟/河工大张争艳 AFM:具备水响应收缩性、可修复性与生物相容性的透明导电水凝胶 2025-10-29
- Nature Communication: 流体动力元件研究进展!浙大杨华勇院士/徐兵教授团队与大连理工孙希明教授团队,研发“电液动力芯片” 2025-02-12
- 华南理工大学殷盼超教授团队 Nano Lett.:钼蓝纳米环尺寸精确调控微观机制 2024-12-02
- 西安交大成一龙课题组《Sci. Adv.》: 分子结构精确调控构建高分子湿粘接剂 2023-06-06