二氧化碳作为一种温室效应气体,其大气中日益增多的排放量已给全球的生态环境带来了严重的危害。微孔有机聚合物因高比表面积、质轻、稳定性好、合成条件温和且合成方法的多样性等优点在二氧化碳捕获方面具有良好的应用前景。目前,研究者主要将精力致力于微孔有机聚合物的功能化,以期通过调控聚合物和二氧化碳之间的相互作用来提高材料的二氧化碳吸附性能。常见的方法主要是通过聚合物的后合成修饰或不同官能度单体的直接聚合在材料的孔壁上引入诸如氨基、硝基、羧基、羟基、磺酰基或磺酸酯等亲二氧化碳的极性官能团,或包括氮原子、氧原子和硫原子等在内的杂原子。值得注意是的是,具有碱性的氮原子可通过偶极-四极和路易斯酸-路易斯碱相互作用来提高聚合物框架对二氧化碳分子的亲和力,进而增强聚合物材料的二氧化碳的捕获性能、吸附热和气体吸附选择性。此外,基于泛函密度理论的模拟表明,单体中较高的电子密度分布可有助于提高材料的二氧化碳吸附性能。稠环化合物是一类由两个或两个以上碳环或杂环以共有环边而形成的多环有机化合物,由于分子中存在的π共轭体系,它们具有富电的特性,因而有望用于构建具有二氧化碳捕获性能良好的多孔有机材料。与此同时,萘作为一种最重要的稠环化合物,不仅来源广泛而且在工业上常用于制备特定的化工原料。然而,具有较多的反应活性位点和富电子的特性的奈基在编制用于二氧化碳吸附的多孔材料方面其研究鲜有报道。因此,不难理解,具有不同奈基的构筑单元将有助于构建结构新颖的有机多孔材料,而且所得材料也有望表现出良好的气体吸附性能。
基于此,谭必恩教授团队采用不同的叔胺(TPB, NPB, α,β-TNB)为构筑单体,通过简单一步的傅克烷基化反应,依次合成了三种结构新颖的超交联聚合物材料(Polymer 1, Polymer 2, Polymer 3),且具有较高的产率。
图1. 聚合物的合成示意图和构筑单元的化学结构
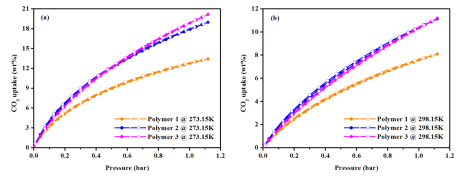
研究表明,所得聚合物具有较好的孔性能和气体吸附性能,其中SBET可达1717 m2 g-1,SLangmuir为2135 m2 g-1,273.15 K/1.00 bar下的CO2捕获性能为18.85 wt%. 此外,聚合物在298.15 K下CO2/N2和CO2/CH4的气体吸附选择性可达24.9和6.3。
图2. (a)77.3 K下聚合物材料的氮气吸附-脱附曲线;(b) 基于DFT方法计算得出的聚合物孔径分布曲线;(c) 聚合物材料微孔区域(<2 nm)的孔径分布曲线
表1. 聚合物的孔性能
|
Samples |
SBETa (m2 g-1) |
SLb (m2 g-1) |
MAc (m2 g-1) |
PVd (cm3 g-1) |
MPVe (cm3 g-1) |
|
Polymer 1 |
874 |
1119 |
457 |
0.49 |
0.18 |
|
Polymer 2 |
1268 |
1543 |
821 |
0.67 |
0.32 |
|
Polymer 3 |
1717 |
2135 |
940 |
1.08 |
0.37 |
|
a Apparent surface area calculated from nitrogen adsorption isotherms at 77.3 K using the BET equation. b Surface area calculated from nitrogen adsorption isotherms at 77.3 K using the Langmuir equation. c t-Plot micropore area. d Pore volume calculated from the nitrogen isotherm at P/P0 = 0.995 and 77.3 K. e t-Plot micropore volume calculated from the nitrogen isotherm at P/P0 = 0.050. |
|||||
图3. (a) 273.15 K/1.13 bar下聚合物材料的CO2吸附-脱附曲线;(b) 298.15 K/1.13 bar下聚合物材料的CO2吸附-脱附曲线
图4. 298.15 K下聚合物材料的CO2 (a), N2 (b)和CH4 (c)吸附曲线。
图5. 根据298.15 K下聚合物的CO2 (粉色), N2 (蓝色)和CH4 (橙色)吸附曲线采用亨利定律斜率法计算Polymer 1的CO2/N2和CO2/CH4的气体吸附选择性。
图6. 根据298.15 K下聚合物的CO2 (粉色), N2 (蓝色)和CH4 (橙色)吸附曲线采用亨利定律斜率法计算Polymer 2的CO2/N2和CO2/CH4的气体吸附选择性。
图7. 根据298.15 K下聚合物的CO2 (粉色), N2 (蓝色)和CH4 (橙色)吸附曲线采用亨利定律斜率法计算Polymer 3的CO2/N2和CO2/CH4的气体吸附选择性。
表2. 聚合物的气体吸附性能和气体吸附选择性
|
Samples |
CO2 uptakea (wt%) |
CO2 uptakeb (wt%) |
CO2 selectivityc (initial slope) |
|
|
CO2/N2 |
CO2/CH4 |
|||
|
Polymer 1 |
12.76 |
7.58 |
20.0 |
5.7 |
|
Polymer 2 |
16.47 |
9.54 |
24.9 |
6.3 |
|
Polymer 3 |
18.85 |
10.35 |
19.4 |
4.1 |
|
a CO2 uptake determined volumetrically using a Micromeritics ASAP 2020 M analyzer at 1.00 bar and 273.15 K. b CO2 uptake determined volumetrically using a Micromeritics ASAP 2020 M analyzer at 1.00 bar and 298.15 K. c Adsorption selectivity of CO2 over N2 and CO2 over CH4 respectively calculated by employing the initial slope ratio from the Henry’s law constants at 298.15 K and a low pressure coverage of less than 0.3 bar. |
||||
图8. 77.3 K/1.13 bar下聚合物材料的氢气吸附-脱附曲线
图9. 273.15 K/1.13 bar下聚合物材料的甲烷吸附-脱附曲线.
表3. 聚合物的氢气和甲烷气体吸附性能
|
Samples |
H2 uptakea (wt%) |
CH4 uptakeb (wt%) |
|
Polymer 1 |
1.16 |
1.55 |
|
Polymer 2 |
1.44 |
2.12 |
|
Polymer 3 |
1.62 |
2.29 |
|
a H2 uptake determined volumetrically using a Micromeritics ASAP 2020 M analyzer at 1.00 bar and 77.3 K. b CH4 uptake determined volumetrically using a Micromeritics ASAP 2020 M analyzer at 1.00 bar and 273.15 K. |
||
实验结果表明,所得聚合物的孔性能可得以良好的调控。这是因为,所有构筑单体具有相同的中间骨架,只是与氮原子相连的端基官能团呈现出不同的差异。由于奈基比苯基具有较多的反应活性位点,随着端基的苯基逐步被奈基取代,单体中反应活性位点的数量增多,一方面将会加快反应的进程,另一方面还会提高反应的交联度且通过聚合物片段把空间分割为更小的孔,从而实现聚合物孔结构的良好调控。此外,所得聚合物的二氧化碳吸附性能也得到良好的调控。这是因为,奈基比苯基具有更好的π共轭体系,即更好的富电特性,随着单体中的苯基逐步被奈基取代,奈基的数量逐步增多,单体的富电特性也随之增强。基于泛函密度理论的模拟已表明,单体具有较好的富电性可有助于材料的二氧化碳吸附性能。因此,聚合物材料的二氧化碳吸附性能也能得以良好的调控。
以上相关成果发表在Macromolecules (Macromolecules. 2018, DOI:10.1021/acs. macromol.8b00274 )上。论文的第一作者为华中科技大学化学与化工学院博士生侯双双,目前在谭必恩教授课题组继续研究学习,通讯作者为谭必恩教授。
- 华科大谭必恩教授团队 Macromolecules:OTs基交联剂“编织”柔性超交联聚合物 - 压力诱导“门控效应”助力高效甲烷存储 2026-04-02
- 华科大谭必恩教授/王笑颜副研究员团队 Adv. Mater.:构筑单元柔性工程策略制备超交联多孔聚合物实现高体积容量甲烷存储 2025-03-16
- 上海理工宋文良/余灯广、东华大学廖耀祖 Green Chem. 综述:超交联聚合物 - 二氧化碳捕获与转化的利器 2024-05-07
- 武大蔡韬课题组 Macromolecules:光/磁协同调控-核壳结构Fe3O4@共轭微孔聚合物催化双门控ATRP及酶偶联应用 2025-04-25
- 武汉大学蔡韬课题组 Macromolecules:吩噻嗪基中空共轭微孔聚合物催化近红外光诱导ATRP用于光协同酶催化循环 2024-10-11
- 南京工业大学孙世鹏教授团队 Nat. Commun.:离子化亚纳米通道膜实现一、二价阴离子高效分离 2024-09-01