自然界中的蜘蛛丝具有优异的刚性和韧性平衡,其拉伸强度最高可超过1GPa,断裂韧性可达150~190J/g。研究显示,其优异的性能是由于多层级组装的纳米相分离结构和纳米晶相受限区域内密集有序的动态氢键作用。这种动态氢键作为一类高效的能量牺牲键,可以在拉伸过程中动态断裂与重构,伴随纳米颗粒相的变形,从而在分子尺度上耗散能量,赋予材料超强的韧性。
虽然近年来国内外大量研究人员开展了蜘蛛丝、贻贝足丝等仿生材料的研究,通过向可降解的聚乙烯醇中添加纳米碳材料(例如石墨烯、氧化石墨烯、碳纳米管、碳量子点等)可以实现增强,但复合材料韧性却急剧下降;也有报道通过添加三聚氰胺、改性的SEBS嵌段共聚物等构筑动态氢键作用实现增强和增韧,但是这些方法要么制备过程复杂、成本昂贵,要么降低了PVA材料的绿色可降解特性。
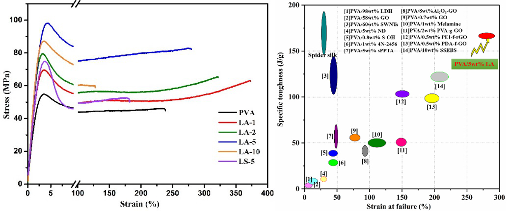
受蜘蛛丝的强韧机理启发,华南理工大学生物质资源化工团队邱学青教授和刘伟峰副研究员以亚硫酸盐制浆产物木质素磺酸盐为原料,采用简单绿色的水溶液共混工艺,制备了高强高韧的木质素/PVA复合薄膜,拉伸强度和杨氏模量分别达到98.2 MPa和3.37 GPa,拉伸断裂韧性则高达173 J/g,是迄今为止文献中报道的韧性最高的PVA复合材料,该韧性已达到了天然蜘蛛丝的韧性水平。该研究成果以“Biomimetic Supertough and Strong Biodegradable Polymeric Materials with Improved Thermal Properties and Excellent UV-Blocking Performance”为题近期发表在国际著名材料期刊Advanced Functional Materials(IF=13.325)。
LA/PVA复合膜的力学性能
研究人员利用木质素磺酸盐(LA)两亲性的分子结构,在水溶液中能自组装形成纳米微球,均匀分散在PVA基体中形成纳米微相分离结构。TEM分析发现,两亲性的LA分子可在PVA基体中分相形成4 nm左右的原生纳米粒子,这些原生纳米粒子进一步组装聚集形成400-500 nm左右的次级纳米球;外力作用下,次级纳米球随应变增加而逐步被拉开分散,散落成4 nm左右的原生粒子,研究人员将这一过程定义为应变诱导分散过程。在应变诱导分散过程中,LA原生纳米粒子与PVA基体之间通过大量的动态氢键作用,不断地耗散能量,抑制应力集中。同时在拉伸过程中结合小角光散射(SAXS)分析,发现LA原生纳米粒子与PVA基体之间的受限氢键作用,可有效约束PVA的无定型链段,促进链段的延伸和取向结晶。在整个PVA/LA复合膜体系,纳米微相分离、应变诱导分散和受限动态氢键协同增强被认为是PVA复合膜强度和韧性同时提高的原因。
图a为纯PVA膜;图b为PVA复合膜拉伸前LA在PVA基体中的分散形态;图c为PVA复合膜拉伸后LA在PVA基体中的分散形态。
由于木质素具有优异的紫外吸收功能,PVA中仅需添加2~5%的LA即可实现对紫外线全波段的吸收屏蔽,同时还能保持对可见光较好的透过率。此外,LA的加入明显提高了PVA的热分解温度,降低了PVA的熔点,拓宽了PVA可熔融加工的窗口。
图a和图b
图c
木质素是植物中仅次于纤维素的第二大生物质资源,来源广泛。我国每年造纸和生物乙醇工业会产生超过2000万吨的工业木质素,但98%以上的工业木质素被直接燃烧,资源的有效利用率极低。该方案采用价格低廉同时又是天然可降解的绿色木质素为增强剂,应用于可降解聚乙烯醇材料,为制备高强高韧全生物降解高分子复合材料提供了一种经济可行的思路,所得木质素/聚乙烯醇复合材料有望应用于可降解塑料、组织工程和紫外线屏蔽生物材料等领域。
论文通讯作者为邱学青教授和刘伟峰副研究员,第一作者为博士研究生张晓。该工作得到了国家自然科学基金青年基金(21706082)、广州市科技计划一般项目(201804010140)和重点项目(201707020025)、广东省重点培育项目(2017 B090903003)和中国博士后基金(2017M622693)的资助。
邱学青,华南理工大学教授,博士生导师,现任华南理工大学副校长,获国家自然科学杰出青年基金,入选国家新世纪“百千万人才工程”、南粤百杰,兼任中国化工学会理事、精细化工专业委员会副主任,广东省绿色精细化学产品工程技术研究开发中心主任、广东省化工学会执行理事长、生物质化工教育部重点实验室学术委员会副主任,第七届国务院学科评议组(化学工程与技术学科组)成员等。由邱学青教授领衔的华南理工大学生物质资源化工团队长期从事生物质资源-木质素的基础研究及开发利用,在木质素基工业表面活性剂、木质素纳米材料的研发和应用方面取得多项原创性成果,并有多项产品实现工业化应用。团队曾获得国家技术发明二等奖2次,国家优秀专利奖3次,广东省专利金奖2次,广东省科技一等奖1次等奖励;获授权中国发明专利72项;获得美国授权专利2项;发表SCI/EI论文400余篇;出版专著1部。
论文链接:https://onlinelibrary.wiley.com/doi/full/10.1002/adfm.201806912
- 华南理工刘伟峰、广东工大邱学青 CEJ:无溶剂原位界面改性策略实现木质素/PBAT复合材料力学、阻隔与耐老化性能协同提升 2026-03-31
- 华南理工刘伟峰、广东工大邱学青 AFM:木质素构筑动态液晶双网络 - 打造高性能光热驱动人工肌肉 2026-03-27
- 华南理工刘伟峰/广东工大邱学青 Green Chem.:兼具高粘接及优异耐候性的木质素羟甲基糠醛基水性胶黏剂 2026-03-25
- 河北工业大学潘明旺教授团队 Small: 高强高韧水性聚氨酯的新型希夫碱笼型结构设计策略及其面向红外隐身的应用 2025-09-05
- 西工大朱光明教授团队 Adv. Sci. 综述:高强高韧自修复聚脲材料的最新研究进展 2025-04-22
- 青科大李志波/马远驰团队 Angew:发展“存储-释放”的拉伸诱导结晶策略构筑高强高韧可降解热塑弹性体 2024-10-12
- UCLA 贺曦敏教授团队 Adv. Mater.:从“链段运动”入手 - 一种刷新各向同性纪录的超强韧PVA水凝胶 2026-02-26