发光液晶兼具发光性能和液晶的有序性,取向后可以获得线/圆偏振光。由该类材料制备得到的器件将具有更深的色彩饱和度、更宽广的视角、更高的对比度和更低的能耗,在液晶显示、有机发光二极管、圆偏振发光、传感器、光学信息存储等方面具有潜在的应用。传统的发光液晶材料在聚集态或固态薄膜中容易产生荧光猝灭,限制了其实际生产中的应用。通过将“聚集诱导发光”(AIE)效应引入发光液晶可以解决聚集态或固态薄膜荧光猝灭问题,得到高效的发光液晶。
将AIE基团引入液晶高分子侧链不仅可以解决聚集态荧光猝灭问题,而且能够进一步加深对侧链液晶高分子结构与性能的理解。针对该问题,湘潭大学谢鹤楼教授课题组和深圳大学余振强教授课题组合作,将AIE和“甲壳效应”结合构筑一种全新的发光液晶高分子。将具有AIE活性的四苯乙烯作为侧基构筑了一系列“甲壳效应”的高效发光液晶高分子,得到的单体及聚合物在凝聚态都能发射较强的荧光,如图1所示。结果表明,所有的单体都表现AIE效应,其发光量子效率为5%~2%,所有的聚合物都具有聚集诱导增强效应。随着间隔基增长,其相结构由近晶A相(SmA) (Pms, m= 2, 4, 6)转变为六方柱状相结构(ColH) (Pms, m = 8, 10, 12.),在SmA 相中,发光量子效率从52%降至32%,而在ColH相中,发光量子效率从27%降低至18%。相关研究结果发表在 Macromolecules (2017, 50, 9607-9616 )上,湘潭大学硕士生郭扬为论文第一作者,同时该工作得到了北京大学陈尔强教授的支持和帮助。
图1. AIE性质“甲壳效应”的高效发光液晶高分子
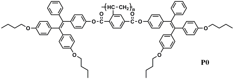
上述实验表明,间隔基长度的缩短,其单体和聚合物的发光量子效率逐渐升高。为进一步构筑更高效的发光液晶高分子,湘潭大学谢鹤楼教授课题组与深圳大学余振强教授、香港科技大学唐本忠教授合作,去掉分子中间隔基,直接用酯基或碳-碳单键将TPE接到苯乙烯的2,5位置上,得到两种单体M1和M2,如图2所示。M1通过自由基聚合得到均聚物P0,而M2需要在苛刻的条件下才能形成共聚物P1~ P3。实验结果表明,酯键的存在导致M1和P0存在光电子转移(PET)效应,从而导致M1和P0荧光猝灭,而M2和共聚物不存在PET效应,M2和共聚物表现强烈的发光性质(M2荧光量子效率高达28%,P1~ P3的荧光量子效率为18.4~24.3% )。XRD测试结果表明,两类聚合物都呈现典型的Sm相。该类发光共聚物具有良好的加工性和成膜性,进一步通过纳米压印方法构筑了荧光图案,表明该类发光液晶高分子在光电和生物成像器件中具有应用价值,相关研究发表在 Macromolecules (DOI: 10.1021/acs.macromol.9b00221),湘潭大学硕士生朱基春和香港科技大学韩婷博士为论文的第一作者,该工作得到了深圳大学孟振功博士的帮助。


图2.消除PET效应的高效荧光液晶高分子及其荧光图案
同样为消除PET效应,湘潭大学谢鹤楼教授课题组采用氢键构筑了一类超分子发光液晶高分子,如图3所示。将不同摩尔比的氢键受体(四苯乙烯衍生物)和氢键给体(聚合物)进行共混构筑了一系列的发光液晶高分子。结果表明,小分子氢键受体相对摩尔量(x)对其相结构、发射波长和发光量子效率均产生明显的影响。当x≥0.8时,该类液晶高分子形成层状相;0.6≥x≥0.05时,形成柱状向列相;当x≤0.025,形成无定形态。同时,随着x的减少,伴随着液晶高分子的发射波长的红移。此外,由于吡啶基团在质子酸作用下的可逆质子化作用,使该类液晶高分子表现出可逆的变色效应。相关研究发表在 ACS Appl. Mater. Interfaces ( 2019, 11, 15051–15059),湘潭大学博士生陶磊和硕士生李明莉为论文的第一作者,该工作得到了北京大学沈志豪教授和关妍博士及湘潭大学王平博士的支持和帮助。
图3. 超分子构筑的发光液晶高分子及其变色实验
该工作得到了国家自然科学基金委和北京分子科学国家研究中心的资助。
文章链接:
https://pubs.acs.org.ccindex.cn/doi/10.1021/acs.macromol.7b01605
https://pubs.acs.org.ccindex.cn/doi/10.1021/acs.macromol.9b00221
- 南林蔡旭敏/王石发、港中深唐本忠、浙大张鉴予 Chem. Sci.:从天然电子受体到极性/多晶型响应的BioAIE智能防伪材料 2025-12-17
- 港中大(深圳)唐本忠教授、赵征教授/港科大林荣业教授团队 Matter: 基于立体异构AIEgens在动态信息防伪与加密的应用 2025-07-28
- 南林蔡旭敏、港中深唐本忠/汪文锦团队 AFM: 松香基天然电子受体构建TICT活性的双功能BioAIE材料 2025-07-22
- 李振教授团队 Adv. Mater.:刚柔并济 - 点亮弹性液晶高分子 2026-01-08
- 中科大冯伟 Small Struct.: 液晶的电致淬火效应对于液晶高分子致动的抑制作用 2025-05-12
- 港科大(广州)岳亮课题组诚招博士生 - 高分子、力学、材料、机械、物理(2025年秋季、2026年春季入学) 2025-03-08
- 华中大廖永贵教授团队Macromolecules:四苯乙烯顺反构型对主链高分子液晶相行为的影响 2021-12-03