二氧化碳与环氧烷烃的交替共聚合成降解性聚碳酸酯是重要绿色聚合反应之一。迄今已开发的诸多均相和多相催化体系的催化剂活性和寿命均有较大幅度提高,为合成聚碳酸酯嵌段调聚物提供了可能。
大连理工大学化工学院吕小兵教授课题组使用高活性和高寿命的钴配合物催化体系(图1),以3-丁烯-1-醇作为链转移剂,利用不朽聚合的方法,通过逐步投料实现了由CO2与不同环氧烷烃的交替共聚,获得高纯度的聚碳酸酯嵌段调聚物(示意图1)。
	 
图1. 钴金属配合物催化体系
	 
示意图1. 聚碳酸酯嵌段合成路线
通过上述催化体系和合成路线成功地合成出了多种呈单峰分布的二嵌段或三嵌段聚碳酸酯,包括PCHC-b-PPC, PCHC-b-PPC-b-PCHC, PPC-b-PCHC-b-PPC, PCBC-b-PCPC和PCHC-b-PCBC-b-PCHC (如图2, I: PCHC-b-PPC; II: PCHC-b-PPC-b-PCHC; III: PCBC-b-PCPC; IV: PCHC-b-PCBC-b-PCHC)。
	 
图2. 聚碳酸酯嵌段GPC图
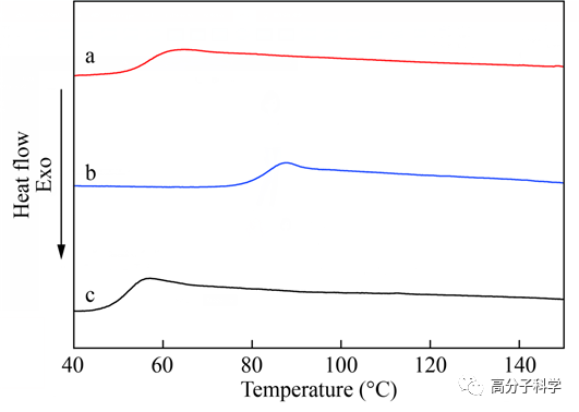
研究发现,所获得的PCHC-b-PPC嵌段调聚物呈现出一个基线宽的Tg (图3左, a),明显比CO2/PO/CHO三元调聚物的一个Tg要宽(图3左, b),而PCHC和PPC的混合物具有两个Tg (图3左, c)。此外,PCHC-b-PPC嵌段调聚物的Tg随其链段中CHC组分的增加而增加(图3, 右)。
	 
图3. PCHC-b-PPC的DSC图(左a)和其Tg对链段中CHC组分比例散点图(右)
通过对比PCBC-b-PCPC与PCBC和PCPC的Tg可发现,嵌段调聚物的Tg处于两组分的Tg之间(图4)。
	 
图4. (a) PCBC-b-PCPC, (b) PCBC和(c) PCPC的DSC图
硕士研究生姜英杰是该论文的第一作者,吕小兵教授和任伟民教授为通讯作者。该项工作得到国家自然科学基金(No. 21690073)的资助。
该工作即将发表于Chinese Journal of Polymer Science。
论文链接:https://link.springer.com/article/10.1007%2Fs10118-019-2270-8

