水电解制氢是一种古老的工业制造氢气的方法,工艺过程简单,能完全自动化,氢气纯度也高,且对环境不会产生污染。碱性水电解技术相对于其他的电解水制氢新技术发展较为成熟,且由于工业化成本较低已经商业化几十年了,但由于其传统系统的高内阻和慢响应时间导致其电解效率较低。目前,碱性水电解的发展趋势是在有限增加制造成本的同时,大幅降低单位能耗,降低电解槽的电解电压,提高电解槽电解效率。主要可以通过发展新的电极材料,新的隔膜材料以及新的电解槽结构-零间距结构来实现。其中碱性聚合物电解质膜由于可以使用非贵金属催化剂作为新的隔膜材料应运而生,即以氢氧化物形式的阳离子单体功能化的阴离子交换膜(AEMs)为基础。AEMs作为水电解隔膜材料遇到最大的挑战之一是在碱性条件下聚合物和阳离子基团会发生降解。
针对以上问题,杨景帅课题组以N-甲基吡咯烷(MPy)、聚(乙烯基苄基氯)(PVBC)和聚醚酮-cardo(PEK-cardo)作为原材料,采用一种简单、温和、无致癌试剂的化学方法合成了一系列高耐碱性和离子电导率的新型AEMs。其中MPy功能化PVBC(PVBC-MPy)溶胀严重不能单独使用,选用PEK-cardo作为增强材料以提供足够的机械稳定性,用于AEMs水电解的集成和测试。
图1. PVBC-MPy/x%PEK-cardo离子交换膜的制备
该课题组进一步对所制备的新型AEMs的一系列性能研究。阳离子基团MPy为五元氮杂环,由于其非极化结构和高抗氢氧化物攻击能力,具有超高耐碱性;而主链PVBC是一种长烷烃链聚合物,不含醚键等强吸电子基团,也具有优异的化学稳定性。以质量分数为35%的PVBC-MPy/35%PEK-cardo膜为例,其IEC值约为2.65mmol g-1;体积溶胀率为38%;离子电导率在80℃时为28.4mS cm-1;湿态下室温拉伸强度为15.1MPa;在1mol L-1KOH溶液80℃条件下浸泡500 h后电导率保留率为85%;耐碱336h后拉伸强度仅轻微下降。这一系列性能证明所制备的AEMs具有较高的导电性、机械强度和良好的耐碱稳定性。


图2. (A)PVBC-MPy/x%PEK-cardo膜在纯水中的电导率;(B)湿态下的机械性能;(C)在1mol L-1 KOH溶液80℃条件下浸泡后的耐碱稳定性; (D)60 ℃,1mol L-1 KOH溶液耐碱后的机械性能
由于PVBC-MPy/35%PEK-cardo膜在高离子导电性和机械稳定性之间表现出良好的平衡性,该团队将其选用于水电解测试中。在碱性水电解实验中,电池极化曲线表明,在60℃条件下,电流密度为500 mA cm-1时电池电压达到2V。同时,通过EIS和电池寿命试验确定了膜在弱碱性条件下运行的可行性。这表明所制备的复合膜是一种很有前途的AEMs水电解隔膜材料。

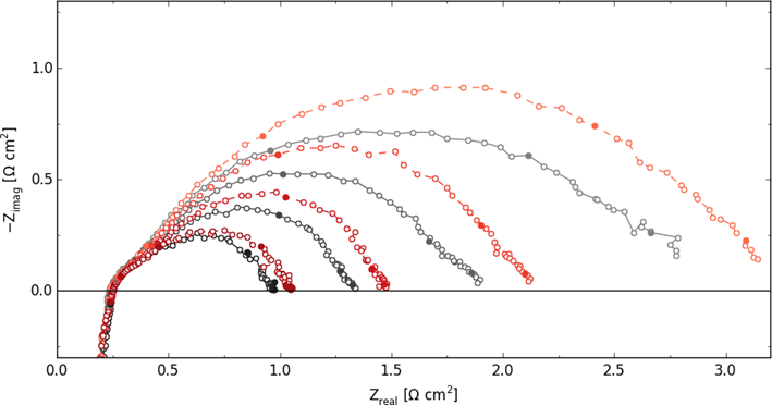
图3. (A)极化曲线;(B) 记录在20、40、80、150mAcm-2下的奈奎斯特图,其中灰色为初始测量曲线,红色虚线为试验结束后测量曲线;(C)在1mol L-1 KOH溶液中60 ℃条件下进行水电解测试
以上相关成果发表在Journal of Materials Chemistry A(J. Mater. Chem. A, 2019, DOI: 10.1039)上。该论文的第一作者为东北大学理学院硕士生李欢欢,通讯作者为东北大学杨景帅副教授,共同通讯作者为丹麦技术大学David Aili研究员。
论文链接:https://pubs.rsc.org/en/content/articlelanding/2019/ta/c9ta04868e#!divAbstract
- 东华大学朱美芳/徐桂银团队 Adv. Mater.: 通过亲阴离子纳米纤维聚合物电解质调控离子传输以实现稳定锌金属电池 2026-01-09
- 东华大学廖耀祖/张卫懿团队 Nat. Commun.:离子型聚合物原位分子编织至MOFs - 实现高效放射性阴离子捕获 2025-08-13
- 长春应化所陶友华研究员、王献红研究员 Nat. Commun.:阴离子结合催化的阳离子共聚实现易降解乙烯基聚合物的合成 2025-06-05
- 华南理工殷盼超教授 Small:复合质子交换膜赋能高温氢燃料电池 2025-05-27
- 长春工大王哲教授团队 Macromolecules:局部三维聚合物骨架与自组装阳离子协同构建新型阴离子交换膜 2024-10-07
- 长春工大李慧/王哲教授、吉大杨英威教授 ACS Mater. Lett.:柱芳烃交联策略提升聚芳醚酮砜膜的质子电导率 2024-10-05
- 浙工大黄菲教授、温大薛立新研究员 AEM:由定向排列纳米片组成的各向异性聚苯并咪唑离子溶剂化膜用于高效酸碱两性水电解制氢 2024-02-01