搜索:  
青科大华静教授团队Macromolecules:在橡胶降解领域取得新进展
2022-03-01  来源:高分子科技

  日前,青岛科技大学高分子科学与工程学院华静教授课题组提出了一种开创性的聚二烯烃橡胶降解的方法,该方法被称为“阴离子降解”。相关成果发表于国际知名期刊《Macromolecules》上。


1.阴离子降解示意图

 

  常见的橡塑材料在自然环境中难以降解,对环境造成了不可忽视的影响。大量的废弃橡胶产品引发的环境问题已成为百年难题,严重影响环境和人类发展。因此开发全新的橡胶降解方法具有重要意义。


  传统橡胶降解方法多以自由基机理为主,常需要高温、高压的反应条件,能耗巨大。本工作发现烷基锂/N,N,N'',N''-四甲基乙二胺体系在室温或更高温度下引起聚二烯烃降解。橡胶的数均分子量在几分钟内从几十万下降到几千。在适宜条件下,分子量可降低数百倍,并且迅速由橡胶转变为具有相当低粘度的液体低聚物。通过调节反应条件,可以在很宽的范围内精确控制聚合物的分子量。反应在温和条件下即可进行,无需高温高压条件。多种橡胶均可使用此方法进行降解,包括顺丁橡胶 (PB)、高乙烯基聚丁二烯 (HVPB)、聚异戊二烯橡胶(PI) 和天然橡胶 (NR)等。


 图2.不同橡胶在降解前后分子量的变化(数值为数均分子量,单位为1×102Da)


  图2总结了以顺丁橡胶、高乙烯基聚丁二烯、聚异戊二烯和天然橡胶作为底物降解后产物的分子量变化。其中顺丁橡胶降解最为彻底,产物最低分子量约1400,其余橡胶也发生了明显的降解,但降解程度略有不同。


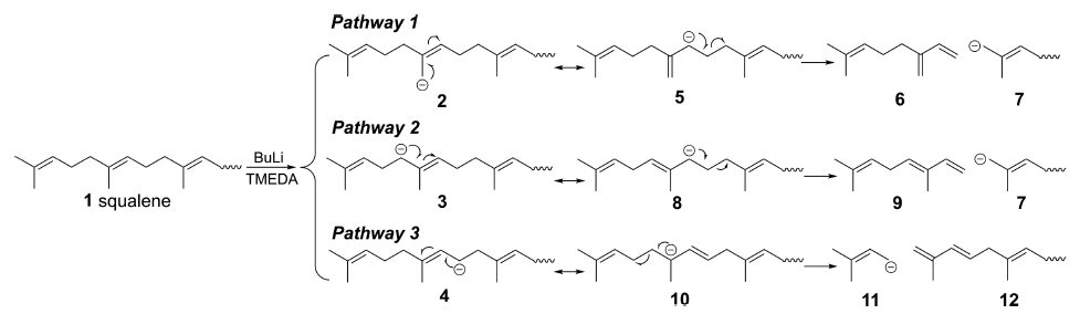
  降解反应的主要产物为末端具有共轭双键的低聚物,结合2H同位素标记和2H NMR光谱分析阐明了降解过程中碳负离子中间体的结构。根据对降解过程和产物的跟踪表征,课题组提出了可能的反应机理(图3,即烯丙基碳负离子发生共振和重排的过程,导致 C-C 键断裂并在链末端产生具有共轭双键的产物。该机理也得到了DFT计算的支持,通过计算,此降解被认为是为熵驱动的过程。


3.阴离子降解机理

 

  鉴于本工作中降解的反应条件与阴离子接枝聚合的反应条件非常相似,这种断链反应在许多阴离子接枝聚合中极有可能发生,这对产品性能产生重大影响。 此工作对烷基锂/TMEDA 系统引起的降解进行了定量研究,对阴离子接枝聚合有深远影响。 此外,由于碳负离子重排引起的阴离子降解也为低聚物的制备和聚合物的回收利用提供了新的思路,为聚合物降解提供了新的见解。


  本研究成果以Degradation of Polydienes Induced by Alkyllithium: Characterization and Reaction Mechanism为题发表在高分子领域顶刊《Macromolecules》(DOI: 10.1021/acs.macromol.0c01934)上,青岛科技大学华静教授为通讯作者,汤健同学为论文第一作者。本工作得到了山东省自然科学基金的资助。


  原文链接:https://pubs.acs.org/doi/10.1021/acs.macromol.0c01934
版权与免责声明:中国聚合物网原创文章。刊物或媒体如需转载,请联系邮箱:info@polymer.cn,并请注明出处。
(责任编辑:xu)
】【打印】【关闭
相关新闻
  • 暂无相关新闻

诚邀关注高分子科技

更多>>最新资讯
更多>>科教新闻