生物基化合物为原料合成高分子材料是实现高分子产业绿色可持续发展的重要选项,近年来,生物炼制技术发展迅速,大量生物基平台化合物及衍生物的出现为高分子合成研究提供了多种可能。但截至目前,规模化的生物基化合物合成高分子技术仍然非常有限,存在产物结构、性能相对单一等问题,已经阻碍了生物基高分子材料的发展。开发新型聚合反应方法实现结构多样的生物基高分子材料合成,进而针对其结构特点拓展其应用空间是目前该领域发展的重点和难点。
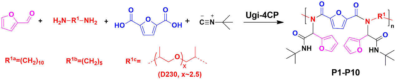
如图1所示,首先以糠醛生物基单体作为原料,利用Ugi多组分聚合反应制备了主链和侧基中均含有呋喃环的生物基聚酰胺。



研究表明,主链和侧基中均含有呋喃环的生物基聚酰胺具有明显的荧光特性,并且主链结构对荧光行为具有明显的影响(图2)。为了研究该生物基聚酰胺的发光机制,利用Ugi多组分聚合反应的模块化策略,制备了主链和侧基结构多样的生物基聚酰胺(图3)。
机理研究表明,仅侧基中含有呋喃环的生物基聚酰胺具有明显的荧光特性(图4 a和b)。推断侧基中呋喃环上的氧原子与其相邻的仲酰胺形成的分子内氢键是良好荧光产生的根源(图4 c和d)。
该生物基聚酰胺通过荧光猝灭效应能够实现对Fe2+和Fe3+的选择性识别,并具有较高的灵敏度。
该工作的相关结果以“Furfural-Based Polyamides with Tunable Fluorescence Properties via Ugi Multicomponent Polymerization”发表于Macromolecules (DOI: 10.1021/acs.macromol.2c01214)上。论文的第一作者是青年教师王雪博士,通讯作者为秦玉升教授。论文得到国家自然科学基金(52073244)、泰山学者计划(TSQN201909086)、中央引导地方科技发展资金(YDZX20203700001726)和山东省自然科学基金(ZR2020QE088)的资助。
原文链接:https://doi.org/10.1021/acs.macromol.2c01214
下载:Furfural-Based Polyamides with Tunable Fluorescence Properties via Ugi Multicomponent Polymerization
- 贵州大学刘玉飞特聘教授团队 Macromolecules:通过调控氢键网络合成α晶型低吸湿生物基聚酰胺5652 2025-07-13
- 北化潘凯教授团队 Polym. Degrad. Stab.:本征阻燃生物基聚酰胺56的分子设计与制备 2022-12-19
- 大连理工大学郑楠课题组 Angew:多组分聚合制备二氧化硫前体聚合物 2025-01-10
- 华南理工大学唐本忠院士团队秦安军教授 Green Chem.: 基于“榫卯”灵感开发基于CS?的活化内炔的自发、多组分聚合反应 2023-12-21
- 西安交大张彦峰教授团队《ACS Macro Lett.》: 硫醇-醛-胺多组分聚合构建硫胺缩醛共价适应性网络 2023-04-13