搜索:  
上海交大颜徐州课题组《Chem》:简易高效制备机械互锁[an]雏菊链网络
2023-05-07  来源:高分子科技

  分子雏菊链(Daisy chainsDCs是一类花环状的轮烷分子,由自互补的AB型单体通过分子间主客体作用连接而成。分子雏菊链具有环形[cn]或非环形[an]的环穿结构,其能够在特定的刺激下,模仿骨骼肌中肌节的收缩和舒张,因此常被用于构筑人工分子肌肉材料目前,基于[c2]雏菊链的机械互锁聚合物已经有了较多的报道。然而,与环形的雏菊链相比,[an]雏菊链的研究仍然较为落后,[an]雏菊链设计成机械互锁材料并研究其构效关系仍然充满挑战


  近日,上海交通大学颜徐州课题组提出了先超分子聚合再互锁(Supramolecular polymerization followed by an interlocking strategy”的方法,简易高效地构筑了一系列由[an]雏菊链作为骨架的机械互锁[an]雏菊链网络(Mechanically interlocked [an]daisy chain networks, DCMINs)(图1。进一步,以此为模型系统,阐明了[an]雏菊链的微观运动对DCMINs增强增韧的内在作用机制。


  区别于其它类型的构筑方法,作者提出的新策略大大简化了结构复杂的机械互锁聚合物的制备流程,将机械互锁聚合物的制备规模从几十毫克级提升到十克级以上。此外,DCMINs[an]雏菊链骨架的结构基础是连续且相互依赖的机械互锁结构,其中机械键相互连接,使它们具有协同运动特性,因而,赋予了DCMINs良好的延展性。有趣的是,[an]雏菊链的分子轴与共价聚合物相连在外力作用时,线性轴拖动大环部分相互靠近,整个[an]雏菊链骨架会发生一种独特的内收缩行为(图1b,这种行为在其它机械互锁聚合物体系中是难以实现的该工作是自1998年报道分子雏菊链以来,首次基于[an]雏菊链独特的结构和动态特性发展的机械互锁的[an]雏菊链网络,这对基于[an]雏菊链的机械互锁聚合物的开发与应用具有重要意义。相关研究成果以“Mechanically Interlocked [an]Daisy Chain Networks”为题发表在近期的《Chem》杂志上。 


1 a)自互补的AB型单体1[an]雏菊链和硫醇功能化的PDMS的化学结构和卡通示意图。(b)机械互锁的[an]雏菊链网络的拉伸和收缩运动示意图


  具体来说,自互补的AB型单体1溶于二氯甲烷中(300 mM),在B24C8DAAS的作用下,自组装形成超分子的[an]雏菊链(图1a)。然后,利用商用的巯基功能化的PDMS作为交联剂将预聚的[an]雏菊链交联起来,形成机械互锁的聚合物网络(DCMINs)(图1b)。为了确定最佳的投料比,作者制备了硫醇基团和烯烃基团的摩尔比为1/31/41/5的三种机械互锁聚合网络,分别命名为DCMINs-1-3


  作者首先研究了自互补的AB型单体1的动态组装行为。从不同浓度下的二维核磁DOSY和黏度曲线可以看出,随着单体浓度的升高,体系的扩散系数降低,黏度升高(图2a2b)。这些结果表明随着单体浓度的升高,单体出现了聚集现象,这可能与长链的超分子[an]雏菊链的形成有关。 


2 [an]雏菊链和DCMINs的结构特征和热性能


  差热分析的结果表明,随着PDMS含量的增加,DCMINsTg20.1 °C降低到11.6 °C(图2d)。通过分析不同交联度的力学性能发现随着交联密度的降低样品的杨氏模量从131 MPaDCMIN-1)显著降低11.5 MPaDCMIN-3)。然而,交联密度提高了样品的拉伸应变和韧性其中代表性的DCMIN-2具有最优异的力学性能最大应变和韧性分别为144%7.23 MJ/m3(图3a3b 


3 不同交联密度的DCMINs的机械性能


  进一步,作者还发现DCMINs的机械性能与[an]雏菊链的聚合度有关。随着聚合浓度的降低,三个不同的DCMIN-2的最大应力、拉伸应变、杨氏模量和韧性均有明显的降低(图4a4b)。这些结果证明了[an]雏菊链的协同作用对机械性能的贡献。 


4 在不同[an]雏菊链聚合度下的DCMIN-2的机械性能


  为了更好地了解连续机械键在改善DCMINs力学性能中的独特作用,作者制备了三种对照样聚合物。对照聚合物1是超分子交联的聚合物网络,对照聚合物2是纯共价交联的聚合物网络,对照聚合物3[2]轮烷交联的机械互锁聚合物网络。拉伸实验表明,相较于对照聚合物,具有连续机械键的聚合物在机械性能和抗穿刺性能方面均有明显的优势(图5a-c另外,应力松弛曲线也说明了相同交联密度的情况下,具有连续机械键的DCMINs能够松弛的应力更多(5c)。 


5 DCMIN-2和对照样品的机械性能对比


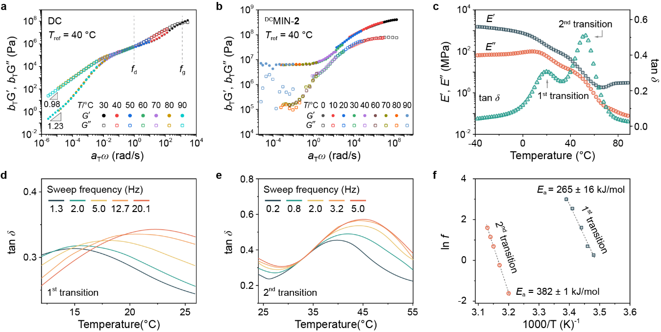
  进一步地,作者又利用流变学测试和DMA测试对DCMIN-2的结构特点进行了探究。在[an]雏菊链(DC)的主曲线中存在着较明显的三态两转变,并且其粘性流动区的储能模量(G?)和损耗模量(G?)在超宽的频率范围内呈缓慢下降趋势(图6a)。作者推测这可能与B24C8环具有较长的滑动距离有关。DCMIN-2的主曲线仅表现出两种状态(图6b)。此外,在玻璃态到橡胶态的转变之后,只观察到一个明显的弹性平台,这也证明了DCMIN-2中存在着永久的交联网络。对于制备而言,只有成功地形成连续互锁结构才能提供有效的网络。因此,明显的弹性平台也表明DCMIN-2结构中存在[an]雏菊链骨架。随后,在DCMIN-2的温度扫描试验中可以观察到两个转变峰(图6c-f),这表明在温度升高过程中体系内发生了两次转变。作者推测这两种转变可能归因于DCMIN-2中两种不同聚合物链段的玻璃化转变。 


6 DCMIN-2的网络结构特性表征


  进而,作者对[an]雏菊链的微观运动如何影响DCMIN-2的宏观力学性能进行了研究DCMIN-2的拉伸曲线具有明显的速率依赖性(图7a),且拉伸后的DCMIN-2介电损耗谱在不同温度下存在明显的弛豫过程(图7b)。在DCMIN-2中,导电的基团主要是带正电的二级铵盐和带负电的六氟磷酸根离子,因此,这一过程可能与B24C8DAAS在张力作用下解离释放的游离铵基有关。


  进一步通过将二级铵盐质子化,来验证主客体作用解离后聚合物结构的变化。主客体作用破坏后,DCMIN-2的溶胀率从约185%增加到约260%(图7c),而具有相同密度的对照聚合物2的溶胀率变化不大,这说明DCMIN-2中主客体作用的解离使得B24C8环的滑动变得更加容易,因此表现出更大的溶胀率。


  借助于连续的流变学测试对聚合物应变初期的动态行为进行了探究(图7d)。在DCMIN-2中,剪切应变为5%处理后的模量明显低于1%处理后的模量,尤其是在起始点处(100 rad/s)。相比之下,纯共价键交联的对照聚合物2的模量在不同的应变处理后变化不大。众所周知,对聚合物网络施加较大的应变(实验中的振荡剪切)会导致网络变形从而引起模量的下降


  随后,作者通过应变范围从10%逐步增加50%的循环拉伸试验,研究了[an]雏菊链的协同运动。如图7e所示,所有的循环拉伸曲线都表现出明显的滞后曲线随着应变的增加,拉伸曲线的滞后环越来越大,这表明应变越大,[an]雏菊链骨架中机械互锁单元运动的幅度越大,即耗散能量越多


  此外作者还研究了DCMIN-2的恢复性能,探讨了主客体作用解离后的恢复能力(图7f结果表明当样条在室温环境下静置约30min后,加/卸载曲线几乎完全恢复到原来曲线的形状。这些结果表明,尽管DCMIN-2中的B24C8环和DAAS客体分子在外力作用下发生了解离和滑动,但是这种变化是可恢复的 


7 DCMIN-2的构效关系理解相关的机械、介电、流变性能表征及理论模拟


  最后,结合全原子动力学模拟结果,作者对DCMINs[an]雏菊链的工作机制和动态特征进行了阐释雏菊链的结构基础是其连续相互依赖的机械互锁结构,其中机械键相互连接进行协同运动。具体而言,雏菊链的协同运动及其对DCMINs力学性能的影响可以概括为首先,一个雏菊链单元的滑动运动可以带动相邻雏菊链单元的运动,从而激活整个[an]雏菊链的运动。然后,[an]雏菊链单元同时移动,如图7g所示。特别,一个雏菊链单元向平衡态的运动可以被相邻菊链单元的运动加速。在此过程中,协同运动能够有效地消耗能量,使DCMINs具有优于对照聚合物的机械性能。最后,当滑动结束时,雏菊链段的长度被严重压缩。这种现象在一般的MINs中是观察不到的。同时,聚合物网络结构在不破坏的情况下发生大幅度的变化,这有助于增强DCMINs的延性和韧性。


  上海交通大学博士生王永明为论文的第一作者,颜徐州研究员为通讯作者。本工作得到了上海交通大学化学化工学院俞炜教授的悉心帮助与指导。该工作得到了国家自然科学基金(220711522210117522122105)、上海市自然科学基金(22dz120760320ZR1429200)和浙江大学上海高等研究院繁星科学基金(SN-ZJU-SIAS-006)的资助。


  原文链接:https://www.sciencedirect.com/science/article/pii/S2451929423001857?dgcid=author

版权与免责声明:中国聚合物网原创文章。刊物或媒体如需转载,请联系邮箱:info@polymer.cn,并请注明出处。
(责任编辑:xu)
】【打印】【关闭

诚邀关注高分子科技

更多>>最新资讯
更多>>科教新闻