聚烯烃弹性体(Polyolefin Elastomer,POE)因其优异的耐候性、电绝缘性能和柔韧性,被广泛应用于光伏组件封装材料、电缆护套及高端弹性体材料等领域。然而,传统POE在加工过程中仍存在熔体强度低、挤出稳定性不足等问题。研究表明,在聚合物分子结构中引入长支链(Long-chain branching, LCB)可以显著增强分子链之间的缠结,从而提高熔体强度和加工稳定性。但目前长支链聚烯烃的制备多依赖多催化剂体系或多步聚合过程,体系复杂且结构调控困难。因此,开发结构可控且工艺简洁的一步法长支链POE合成策略,并深入理解其形成机理,成为聚烯烃研究领域的重要课题。

图1 一步法三元共聚构筑长支链POE的机理示意图
近日,华南理工大学刘伟峰团队通过在乙烯/1-辛烯共聚体系中引入微量1,9-癸二烯(<1 mol%),在茂金属催化体系下实现了乙烯/1-辛烯/1,9-癸二烯三元溶液共聚的一步法合成长支链POE。研究发现,仅加入微量1,9-癸二烯即可显著改变聚合物的分子结构及分子量特征,使所得聚合物的重均分子量由 28.5 kDa 提高至 105.8 kDa,同时在聚合物链中成功引入长支链结构,其长支链频率最高达到 0.0667/1000C。
研究表明,在三元共聚过程中,1,9-癸二烯中双键参与链增长反应,而另一端双键则保留在聚合物侧链上,形成带有悬挂双键的大单体。在后续聚合过程中,这些大单体可以再次插入活性中心并继续增长,从而在主链上形成新的链增长位点,最终构筑出长支链结构。
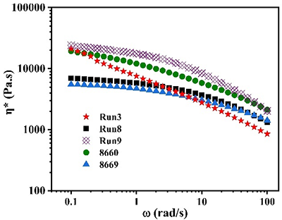
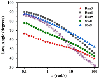
通过三检测凝胶渗透色谱(triple-detection GPC)及流变测试等手段,研究团队进一步验证了长支链结构的存在。结果表明,与传统POE相比,长支链POE表现出更高的零剪切黏度、更明显的剪切变稀行为以及更高的低频储能模量,这些特征均表明长支链结构能够显著增强聚合物熔体的弹性和加工稳定性。


(a) (b)


(c) (d)
图2 长支链POE的流变行为变化
拉伸力学性能测试表明,引入长支链结构在保持材料柔韧性的同时增强了分子链缠结和能量耗散能力,从而提升材料的力学性能。同时,长支链结构有助于增强熔体应变硬化行为,提高吹膜过程中气泡稳定性,并改善POE薄膜的加工性能和厚度均匀性。

图3 长支链POE的拉伸应力–应变曲线对比
为了进一步揭示长支链形成的内在机制,研究团队建立了乙烯/1-辛烯/1,9-癸二烯三元共聚动力学模型,系统考虑了单体插入、链转移以及大单体再插入等关键反应步骤。模型预测结果与实验数据具有良好的一致性,证明带悬挂双键的大单体再插入是长支链形成的重要反应路径。


(a) (b)

(c)
图4 三元共聚动力学模型与实验结果的对比
参数灵敏度分析表明,大单体再插入速率常数 kb 对长支链含量影响最为显著。当 kb 增加3倍时,长支链频率最高提高约 180%;而当 kb 降低3倍时,则降低约 66%,表明大单体再插入过程在长支链形成中起主导作用。参数相关性分析进一步发现,二烯单体插入速率与大单体再插入速率之间存在一定耦合关系。在此基础上,研究团队提出了简化动力学模型,仅跟踪二烯单体的一次插入和二次插入反应,从而在无需建立完整分子量分布模型的情况下预测长支链含量。结果表明,该模型对长支链含量的预测误差仅为 3%–10%,在保持较高预测精度的同时显著降低了模型复杂度,为聚烯烃反应过程模拟及工业放大提供了理论基础。
本研究不仅提出了一种一步法构筑长支链POE的有效策略,还通过动力学建模、参数灵敏度分析和简化模型验证,系统揭示了长支链结构形成的动力学机理,为聚烯烃长支链结构的精准调控提供了新的理论基础,也为开发高性能光伏封装材料提供了新的思路。相关成果以 “Metallocene-catalyzed long-chain branched POE: Kinetic mechanism and structure–property relationships” 为题发表在AIChE Journal 上。论文第一作者为华南理工大学2025级博士研究生李锋,华南理工大学刘伟峰研究员为通讯作者,香港中文大学(深圳)朱世平教授、上海交通大学周寅宁教授以及广东工业大学邱学青教授参与合作研究。该研究得到了国家自然科学基金项目(22222805,22038004,22478133,U23A6005)以及广东省化学与精细化工实验室揭阳中心资助。
原文链接: https://doi.org/10.1002/aic.70214
近年来,作者团队围绕高端聚烯烃材料的结构调控与反应工程机理开展持续研究,从基础机理出发,通过反应动力学调控实现聚烯烃分子结构的精准构筑。在聚烯烃分子结构调控机理、聚合反应动力学建模以及结构–性能关系研究方面取得了一系列进展,为高性能聚烯烃材料的设计与开发提供了新的理论依据和技术思路。团队期待与学界和产业界开展深入合作,共同推动相关成果的工程化应用。
- 浙江大学王文俊教授团队 Macromolecules:乙烯串级聚合制备长支链POE 2026-01-22
- 浙江大学王文俊教授团队 Macromolecules:双长支链结构聚烯烃弹性体POE的创新设计 2025-10-03
- 烟台大学秦玉升教授团队Macromolecules: CO2基接枝共聚物助力聚烯烃/聚碳酸丙烯酯混合塑料物理回收 2026-04-10
- 长春应化所简忠保团队 Angew:新一代聚烯烃催化剂创制 2026-01-28
- 中国科大陈昶乐/邹陈团队 Angew:多重刺激响应聚烯烃基驱动器 2026-01-16
- 浙江大学凌君教授课题组 Macromolecules:无金属催化剂催化两仪聚合构筑聚氨基酸热塑性弹性体 2026-05-03
- 大连理工大学韩丽、舍布鲁克大学赵越 JMCA(HOT Paper):无交联策略制备热塑性液晶弹性体驱动器 2026-04-30