搜索:  
上海大学李文/张阿方教授团队《Macromolecules》:动态共价键构筑多重响应手性温敏树枝化聚苯乙炔
2023-12-18  来源:高分子科技

  螺旋聚苯乙炔是一类典型的动态螺旋聚合物,具有较低的螺旋反转势垒,手性可以通过溶剂、金属离子或溶液温度等多种外界刺激而改变。通过超分子作用或动态共价化学构筑螺旋聚合物,以实现其手性的多重刺激响应性,在构筑手性聚合物并拓展其在不同领域的潜在应用,均具有重要价值。


图1、树枝化聚苯乙炔与氨基酸通过席夫碱成键实现单手性的诱导


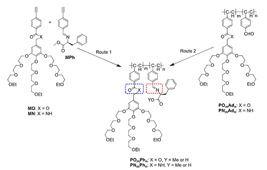
  近日,上海大学仿生与智能高分子国际联合实验室李文/张阿方教授团队报道了一类通过动态共价化学键构筑的具有多重响应的手性树枝化螺旋聚苯乙炔共聚物。这类共聚物分别含有树形烷氧醚的非手性基元以及醛基和氨基酸经动态席夫碱组成的手性基元,实现了分子水平上的构型动态共价化学和聚合物的手性构象动态性的结合。这类共聚物分别由大单体路线和接枝路线得以合成(图2)。其中,树枝化烷氧醚侧基赋予聚合物独特的温敏特性(图3),而温度敏感赋予共聚物螺旋构象以动态特性。席夫碱键的稳定性与共聚物的温敏过程相关,并密切依赖于水相pH值。有趣的是,外加氨基酸对共聚物的螺旋构象有着至关重要的作用。两种路线制备的聚合物手性诱导机制完全不同,大单体路线中的酯键共聚物表现出较强且稳定的螺旋构象,而酰胺键共聚物则表现出明显的动态可调控性(图4);接枝路线合成的共聚物会随着氨基酸的加入显著增强亚胺键和酰胺键的相互作用,使得酰胺键共聚物的手性传递更为有效(图5-8)。这项研究工作为理解共聚物的结构与诱导动态螺旋之间关系提供了新思路,为开发手性动态可调控的材料提供了新路径


  该工作以“Thermoresponsive Dendronized Poly(phenylacetylene)s via Dynamic Covalent Chemistry Showing Multiple-Responsive Chirality”为题发表在《Macromolecules》上(DOI:10.1021/acs.macromol.3c01405)。上海大学博士生卢雪婷与硕士生刘芸利、陆东旭为论文共同第一作者,李文教授和张阿方教授为论文共同通讯作者。该研究工作得到了国家自然科学基金和上海市东方学者人才计划项目的支持。 


图2、树枝化聚苯乙炔共聚物的合成示意图。 


图3、树枝化聚苯乙炔共聚物的温度响应性。


图4、大单体路线制备的聚苯乙炔共聚物在不同条件下的螺旋构象。


图5、接枝路线制备的聚苯乙炔共聚物在不同条件下的螺旋构象


图6、接枝路线制备的聚苯乙炔共聚物在加入相反构型氨基酸时的螺旋构象


图7、树枝化聚苯乙炔共聚物在不同温度的螺旋构象


8、树枝化聚苯乙炔的动态螺旋调控机理示意图


  该工作是团队关于温敏树枝化螺旋聚苯乙炔相关研究的最新进展之一基于树枝化聚合物的拓扑结构,以烷氧醚树枝化基元为侧基经手性氨基联接,制备了一类新型温度响应性螺旋聚苯乙炔(Macromolecules 2014, 47, 3288. DOI: 10.1021/ma5003529)。它们不仅具有相转变迅速、滞后效应小等优异温敏行为,且可以通过改变温度实现聚合物构象的可逆调控。进一步通过改变烷氧醚侧基与主链的连接方式,制备了一系列具有温度、溶剂以及金属离子多重刺激响应性的水溶性螺旋聚苯乙炔(Macromolecules 2019, 52, 22, 8631–8642. DOI: 10.1021/acs.macromol.9b01881),实现了聚合物螺旋构象的旋向的多策略可逆调控。并通过外加阴离子实现了对树枝化聚苯乙炔水溶液相变温度及手性的同步调控(Macromolecules 2021, 54, 7621–7631. DOI: 10.1021/acs.macromol.1c00917)。进一步通过分子结构设计、聚合过程控制以及外部刺激等实现了对不同支化度的树枝化聚苯乙炔螺旋构象的调控(Chinese J. Polym. Sci. 2023, 41, 1543. DOI: 10.1007/s10118-023-2991-6)。设计在树枝化聚苯乙炔侧基引入可通过光辐照二聚反应的肉桂酸酯基元,聚合物在光照前表现出典型的动态螺旋特征,而经光环化反应后聚合物的螺旋性高度稳定。(J. Am. Chem. Soc. 2023, 145, 45, 24906–24921. DOI: 10.1021/jacs.3c09333)这些工作对制备螺旋构象可通过多重外界刺激调控的新型聚苯乙炔衍生物手性材料具有重要参考价值。


  原文链接:https://doi.org/10.1021/acs.macromol.3c01405

  下载:Thermoresponsive Dendronized Poly(phenylacetylene)s via Dynamic Covalent Chemistry Showing Multiple-Responsive Chirality


版权与免责声明:中国聚合物网原创文章。刊物或媒体如需转载,请联系邮箱:info@polymer.cn,并请注明出处。
(责任编辑:xu)
】【打印】【关闭

诚邀关注高分子科技

更多>>最新资讯
更多>>科教新闻