苯并噁嗪是一类基于酚、伯胺与醛经曼尼希缩合合成的高性能热固性树脂。凭借灵活的分子设计平台,可通过功能基团精准引入实现结构调控,赋予固化产物目标性能。三十余年来,研究表明含特定结构单元的苯并噁嗪兼具与双马来酰亚胺相当的耐热性、媲美环氧的工艺性及优异的阻燃、低烟、低毒特性,具备成为与环氧、酚醛等并重的基础树脂体系的潜力。近年来,动态共价化学赋予玻璃体可回收与降解特性,但普遍存在热稳定性下降、依赖石油基原料等问题。此外,传统阻燃树脂体系还面临磷卤添加剂带来的环境风险。苯并噁嗪因结构可调、原料来源广,成为构建兼具耐热、阻燃与可回收性能动态网络的理想平台。然而,目前苯并噁嗪基类玻璃体研究仍较匮乏,难以在可回收性、热稳定性与本征阻燃间实现平衡。因此,如何从可再生资源出发,设计兼顾上述性能的全生物基苯并噁嗪类玻璃体,是推动该领域绿色化与高性能化的关键挑战。
2026年2月11日,江苏大学张侃教授团队在国际期刊《Angewandte Chemie International Edition》发表题为“Recyclable, Highly Thermally Stable and Intrinsically Flame Retardant Bio-Based Polybenzoxazine Vitrimers Enabled by Dual Dynamic Covalent Bonds”的研究论文。博士研究生杨译和陆寅为文章共同第一作者,张侃教授为论文通讯作者,江苏大学为论文唯一通讯单位。
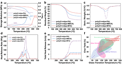
该团队开发了一种基于苯并噁嗪化学构筑双重动态共价网络的全新设计策略。该研究以香草醛与3-(二甲氧基甲基硅基) 丙胺为原料合成了含醛基和硅醚结构的苯并噁嗪单体V-mdpa,并进一步与三种生物基二胺反应构建含亚胺键和硅醚键的双重动态的前驱体(图1)。该工作赋予了树脂材料可调控的热稳定性、出色的阻燃性以及高性能和可控降解之间的有效平衡,成功制备出一类兼具高耐热、本征阻燃、可回收、可降解特性的生物基聚苯并噁嗪类玻璃体。固化行为研究表明,苯并噁嗪开环后酚羟基与硅甲氧基反应生成Si-O-Ph键,并伴随硅氧烷聚合,形成含双重动态键的交联网络(图2)。热性能与阻燃性能研究表明,poly(V-mdpa-BFA)表现出最高的玻璃化转变温度(327 ℃)和热分解温度(Td10 = 361.7 ℃),800 ℃残炭率达61.4%,显著优于柔性链体系。该材料同时展现出最低热释放容量低至62.1 J·g-1·K-1与总热释放仅5.1 kJ·g-1(图3);归因于燃烧过程中形成致密SiO2/C杂化层,协同CO2等不可燃气体的稀释与散热作用,使其在UL-94测试达V-0等级,LOI达31.2%(图4)。可再加工性与降解性能研究表明,poly(V-mdpa-BFA)具有温度依赖性网络重排能力,应力松弛表观活化能为116.73 kJ/mol,体现双重动态键的协同作用。经热压再加工后,材料弯曲强度保持率>91%。在1 M NaOH/乙醇/水体系中,树脂材料在60 °C下6 h内完全降解(图5)。该工作不仅拓展了生物基类玻璃体的分子设计空间,也为下一代可持续热固性树脂在电子封装、航空航天等高端领域的应用奠定了理论与实验基础。

图1. 苯并噁嗪前驱体的结构设计与表征

图2. 固化行为研究

图3. 热性能与阻燃性能研究

图4. 阻燃性能与阻燃机制研究

图5. 可再加工性与降解性能研究
该研究工作得到了国家自然基金、国家重点研发计划等项目的资助。
原文链接:http://doi.org/10.1002/anie.8806571
- 西安交大张彦峰教授团队 AFM:基于双重动态共价键的自修复红外透过材料 2024-02-15
- 青科大李琼、浙大李志波 Adv. Mater.:利用缩氨硫脲动态键构筑动态共价-超分子协同网络 实现高性能可回收热固性树脂 2026-02-13
- 北京化工大学郭金宝教授团队 AFM:基于双动态共价网络的可回收液晶弹性体 - 用于多形态可持续应用 2026-01-12
- 北京化工大学岳冬梅教授团队 AFM:兼具卓越室温自修复、可回收与极端温度力学稳定性的高强度聚脲弹性体 2025-12-11
- 中国矿大何新建/徐欢团队 ACS Nano:火场应急防护用多尺度取向耐高温聚乳酸活性纳纤膜 2025-12-24
- 吉大孙俊奇教授团队 Macromolecules:基于“刚柔相济”微相分离结构设计制备兼具耐低温与耐高温性能的高强度热塑性弹性体 2025-01-22
- 北化贾晓龙教授、杨小平教授 Adv. Compos. Hybrid. Ma.:碳纤维复合材料新型耐高温界面相的构建方面取得新进展 2024-04-28