光固化材料广泛应用于齿科医学、电子器件与3D打印等重要的技术领域,光固化材料的力学性能要求越来越高,设计力学性能优异的光固化材料(例如高抗冲环氧材料)迫切需要阳离子与自由基混杂的光引发技术。传统的自由基或阳离子光聚合反应仅适用于紫外光激发,可见光条件下的聚合反应可以产生显著的技术操作便利性。随着人们环保、低能耗意识的提高,可见光引发体系的发展逐渐受到关注。
复旦大学高分子科学系倪秀元教授课题组近期在纳米半导体的光催化聚合反应方向取得了重要研究进展,提出了一种三元化合物的引发体系:由Fe元素掺杂TiO2 (Fe-doped TiO2 )、丁二酸与二苯基碘鎓盐 ( Ph2I+PF6-)组成,它可同时引发丙烯酸酯单体的自由基聚合与环氧化合物的阳离子聚合,并且适用于可见光条件。
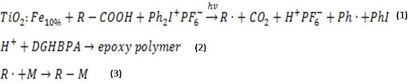
研究结果揭示了光化学反应机理:Fe-doped TiO2吸收可见光,然后催化丁二酸发生脱酸反应,生成了烷基自由基(R?)、CO2与H+,R?引发丙烯酸酯单体的自由基聚合;碘鎓盐捕获光生电子,然后生成鎓盐负离子可稳定(stabilize)脱羧反应产物H+,使H+免于与光生电子的复合,从而促进环氧化合物的阳离子聚合。
Figure 1. Thereaction mechanism of the visible-light induced cationic and free radical polymerizations initiated by TiO2:Fe10%/succinic acid/Ph2I+PF6-
这项研究成果提出的Fe-doped TiO2/succinic acid/ Ph2I+PF6-三元引发体系发展了一种新型光固化技术路线:在该引发体系中,鎓盐负离子使H+免于与光生电子的复合,从而明显提高了半导体的光催化效率,并实现了自由基-阳离子的双引发,其自由基-阳离子双引发与可见光激发的特点有望拓展光固化聚合物的用途,具有广阔的应用前景。该项研究成果现已发表于催化类权威期刊Journal of Catalysis,论文题目为Cationic andfree radical polymerization initiated by a visible-light sensitive complexbased on the photocatalytic decarboxylation of carboxylic acid,第一作者是博士生廖晚凤。
TiO2光催化脱羧反应又称为photo-Kolbe反应,是Kraeutler and Bard于1978年报道。倪秀元教授及其研发团队曾首次观察到中间产物烷基自由基(R*)引发的聚合反应,并应用13C标记乙酸(13CH3COOH),检测出聚合物链的端甲基结构,从聚合反应角度证明了反应机理;由TiO2与CH3COOH组成的双组份引发体系在水相表现出高引发效率,这发展了一种实用性的水性光固化材料,避免了传统光引发剂不溶解于水的问题。(J. Photochem. Photobiol. A: Chem. 195 (2008) 323-329.)此后,该课题组研究了不同碳数的二元脂肪族羧酸的光催化脱羧引发的聚合反应特征,揭示了羧酸化学结构的影响,该研究成果被选为光化学专业期刊Journal of Photochemical & Photobiological Sciences的封面文章(J. Photochem. Photobiol.Sci. 2017, 16, 1211-1219)。在纳米半导体光催化反应过程中,光生电荷的复合限制催化反应的效率,该课题组新近提出的三元引发体系进一步提高了半导体的光催化效率,并实现了自由基-阳离子的双引发,这些研究结果丰富和完善了纳米半导体光化学反应的理论。
- 长安大学颜录科教授团队 AFM:基于MBene的新型光热-光催化复合膜实现高效太阳能水净化 2025-09-09
- 北化许海军教授团队 CEJ: 低成本原位光催化技术突破摩擦纳米发电机高性能电极瓶颈 →在疏水性聚合物表面原位生长银纳米颗粒电极 2025-08-07
- 江苏科技大学郭峰/施伟龙 CEJ: 一步简单碳掺杂改性g-C3N4实现高效协同压电辅助-光催化纯水制备H2O2 2025-07-21
- 青科大王庆富、孙靖江团队 Macromolecules:水相Passerini三组分分散聚合反应制备聚酯微球 2025-05-20
- 四川大学朱剑波教授团队 Nat. Chem.:通过立体和序列控制聚合反应实现聚合物性能调控 2025-05-17
- 安理工王文新教授都柏林大学团队 SA:在逐步聚合反应基础理论领域的突破性研究成果 - 包含环化和官能团不等反应活性的逐步聚合模型 2025-05-15