搜索:  
青岛科技大学李志波教授课题组:有机催化开环聚合及紫外固化法制备可降解聚薄荷内酯及其弹性体
2020-05-13  来源:高分子科学

  可降解聚酯弹性体具有良好的生物相容性和力学性能,其中的酯键可在体内水解或酶解,近年来在生物医学领域得到了广泛应用和快速发展。由生物基薄荷内酯单体开环聚合制备的聚薄荷内酯是制备可降解聚酯弹性体的优良软段,可与人体软组织的模量相匹配,因此研究基于聚薄荷内酯的聚酯弹性体的合成及其性能对可降解生物医用高分子材料的发展具有重要意义。


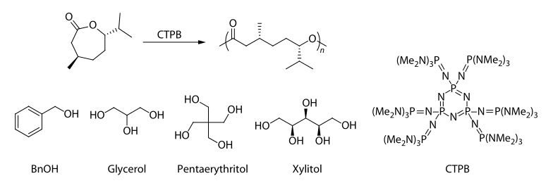
  基于上述背景,青岛科技大学高分子科学与工程学院李志波教授课题组采用课题组自主研发的环三聚磷腈碱(CTPB)作为有机催化剂(图1),以生物来源的薄荷醇衍生的薄荷内酯为单体,成功合成出具有不同分子量(8.2~100.7 kDa)的聚薄荷内酯(图2),并通过CTPB/脲二元催化体系的引入,使聚合反应更加可控(图3)。


图1. CTPB催化薄荷内酯开环聚合反应


图2. 不同分子量聚薄荷内酯样品GPC曲线


  该工作使用CTPB/脲二元催化体系,以甘油为引发剂,合成了结构明确的星形端羟基聚薄荷内酯,并采用丙烯酸酯进行封端。在不加热且无其它外界刺激的条件下,丙烯酸酯封端的星型前体聚合物可在紫外光照射下形成化学交联的聚酯弹性体(图3)。


图3. 紫外固化聚薄荷内酯基交联弹性体的制备


  所得聚酯弹性体的玻璃化转变温度与前体聚合物相比稍有下降(图4),表现出与前体聚合物相似的热稳定性(图5),且具有与软组织相匹配的模量(3.8~5.5 MPa)、抗拉强度(0.56~0.68 MPa)和断裂应变(280%~320%)。


图4. 不同星型聚薄荷内酯样品及弹性体(CE30CE90)的DSC曲线


图5. 聚薄荷内酯弹性体(CE30CE90)及其前体聚合物的热重曲线


  赵娜博士是该论文的第一作者,李志波教授为通讯作者。该项工作得到国家自然科学基金(No. 21704048)、国家外专局创新引智计划(No. D17004)和“泰山学者”建设工程(No. tsqn20161031)的资助。该论文即将发表于Chinese Journal of Polymer Science 2020年“Bio-based Polymers”专辑。


  论文链接:https://doi.org/10.1007/s10118-020-2415-9

版权与免责声明:本网页的内容由中国聚合物网收集互联网上发布的信息整理获得。目的在于传递信息及分享,并不意味着赞同其观点或证实其真实性,也不构成其他建议。仅提供交流平台,不为其版权负责。如涉及侵权,请联系我们及时修改或删除。邮箱:info@polymer.cn。未经本网同意不得全文转载、摘编或利用其它方式使用上述作品。
(责任编辑:xu)
】【打印】【关闭

诚邀关注高分子科技

更多>>最新资讯
更多>>科教新闻