高分子水凝胶精确、可调的复杂变形在人工肌肉、软物质机器人、生物传感器等领域具有重要意义。在外界刺激下,基于内部结构或性质的各向异性,水凝胶通过内部差异性的溶胀行为实现形状转变。基于3D打印、光刻等技术,可精确调控水凝胶内部各向异性的空间分布,实现复杂的3D/4D变形。但是传统策略通常依赖于精密的光掩模版或模具的设计加工,水凝胶的各向异性由特定的模板结构决定。因此,如何用更加简单而高效的方法构筑具有精密结构的水凝胶器件,实现可控的复杂变形,仍然是本领域的重要课题。
中山大学付俊教授团队发展了一种基于离子打印的方法,通过控制水凝胶内部的力学性质和温度响应性质的空间分布,实现凝胶快速、可逆、可控的3D/4D变形。通过这种方法,控制水凝胶中模量和响应性质的周期性分布,实现温度下刺激下水凝胶发生折叠变形(图1)。
图1.(a)离子打印构筑各向异性响应型水凝胶及(b)三维变形、(c)折纸变形、(d)温敏爪。
图2. a)水凝胶化学结构;(b)Fe3+离子交联前后的水凝胶示意图、(c)照片以及(d,e)扫描电镜图像。(f)Fe3+交联前后的水凝胶的压缩模量;(g,h)Fe3+交联前后的水凝胶的LCST及温度响应速度对比。
付俊团队合成了一种聚(N-异丙基丙烯酰胺-co-甲基丙烯酸钠)水凝胶(图2a),其中N-异丙基丙烯酰胺(NIPAM)为水凝胶提供可逆的温度响应性,甲基丙烯酸钠(NaMAc)使水凝胶可与金属离子络合。在水凝胶中引入三价铁离子(Fe3+),与羧基络合交联(图2b),水凝胶体积收缩(图2c),孔变致密(图2d,e),模量升高(图2f),相应地,LCST温度降低(图2g),温度响应速度变快(图2h)。
利用离子打印技术,以高纯铁作为阳极,利用电化学氧化释放Fe3+离子,使其在水凝胶的局部进行络合交联,在局部产生内应力,并改变局部温度响应性质,形成模量和温敏各向异性(图3)。其中,内应力使水凝胶在离子打印后弯曲变形(图3b),主要是因为局部离子络合导致交联密度变大,孔径变小(图3c);离子打印深度可通过打印时间(图3d)和打印电压(图3e)来调节。水凝胶的弯曲程度也可以通过打印时间(图3f)和打印电压(图3g)来调控。
图3. a)阳极氧化释放Fe3+示意图,Fe3+在水凝胶局部络合,产生内应力,导致弯曲(b);c)离子打印水凝胶断面的扫描电镜图像;d-e)通过控制通电时间和电压调控凝胶中Fe3+交联区域的深度;f-g)通过控制通电时间、电压和水凝胶配方调节离子打印水凝胶的弯曲角。
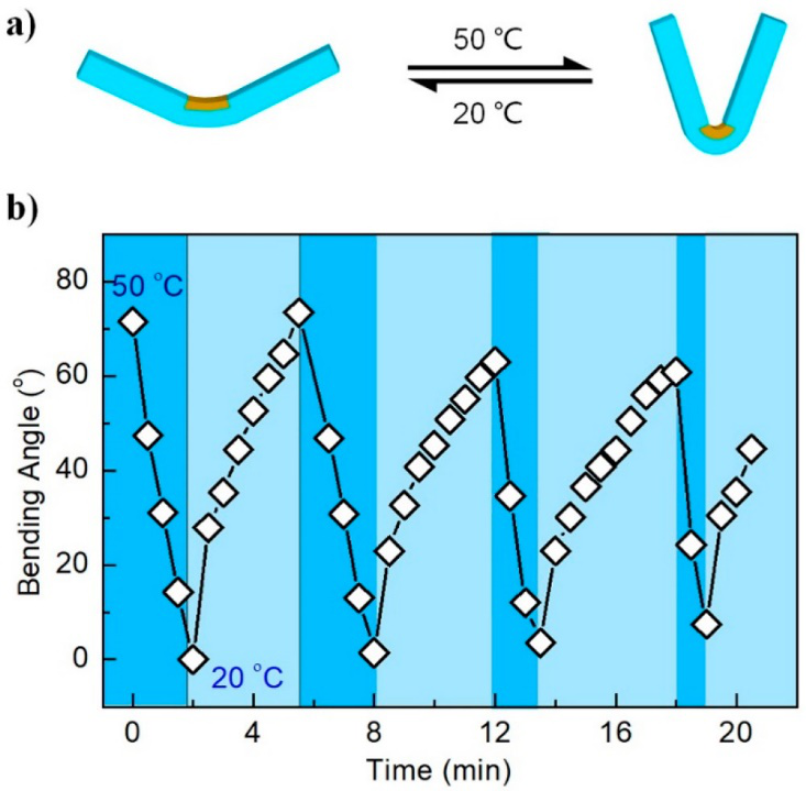
这种离子打印弯曲的水凝胶在升温时进一步弯曲折叠,弯曲角最大可达70度;降温时,水凝胶舒张,恢复到初始状态(图4),该温度响应行为是可逆的。
图4. 离子打印水凝胶在温度刺激下的可逆弯曲变形。
在此基础上,以阵列式电极作为阳极(图5a),可精确地控制Fe3+在水凝胶中周期性分布并与羧基络合交联,产生周期性的各向异性结构(图5b),在室温下,这些图案中的周期性内应力驱动水凝胶从平面状态弯曲至螺旋形状(图5c)。经过巧妙地设计离子交联条纹的角度、间距等参数,实现了对螺旋结构的手性、螺距、倾斜角、直径等参数的控制(图5c)。
图5.离子打印水凝胶三维螺旋结构。a)阵列式铁电极打印水凝胶示意图;b)水凝胶螺旋的手性、螺距、倾斜角、直径等参数;c)螺旋形水凝胶照片。
另一方面,水凝胶中的周期性离子交联络合赋予温度响应性的周期性分布。因此,将上述螺旋结构置于温度变化环境时,螺旋直径、螺距等结构特征迅速发生可逆转变,即温度诱导三维结构形变,也称4D变形(图6)。
图6. 螺旋水凝胶在温度刺激下的可逆4D变形(gif)
将上述温度刺激的4D变形与受折纸艺术(origami)结合,实现了水凝胶的可逆折叠变形。设计了一种模拟雨伞开-合过程的水凝胶折纸器件。交错的金属离子交联赋予了水凝胶两面交替的各向异性(图7a),因此离子打印产生交替的内应力使水凝胶呈“伞”状。而交替的温度响应性质使“伞”在升温时“关闭”,降低温度又能让这种关上的“伞”重新“打开”(图7b)。

(a) (b)
图7.在水凝胶的正-反面交替地构筑金属离子络合交联(a),实现水凝胶的“伞状”折叠变形(b)。
利用这种结构设计思想,还可以方便地构筑温度响应型水凝胶“爪”,升温时,水凝胶爪的弯曲变形,抓取物体;降温时,爪张开,实现可逆释放(图8)。
图8. 离子打印构筑水凝胶爪
这种简单高效的方法能够在水凝胶中产生各向异性的结构,得益于对电极结构的设计和控制,能够对各向异性的结构、分布等进行调控,方便地制备具有精密复杂结构的水凝胶。该方法对于设计和制备具有复杂变形能力和驱动行为的软物质器件具有重要意义。
该研究成果以“Programmable and Reversible 3D-/4D-Shape-Morphing Hydrogels with Precisely Defined Ion Coordination” 为题, 发表于ACS Applied Materials & Interfaces上。
该研究工作得到国家自然科学基金项目资助(51873224)。
文章链接:https://pubs.acs.org/doi/abs/10.1021/acsami.0c06342
- 西南交大杨维清教授/邓维礼副教授 Adv. Mater. 综述:离子水凝胶传感器 - 迈向下一代个性化健康监测 2025-10-31
- 济南大学王鹏/复旦大学李卓/浙理工孟垂舟/河工大张争艳 AFM:具备水响应收缩性、可修复性与生物相容性的透明导电水凝胶 2025-10-29
- 四川大学王云兵/张婕妤团队 Adv. Mater.:可注射导电水凝胶贴片通过时空调控实现心肌修复 2025-10-27
- 港城大吕坚/新国大Tan Swee Ching/太原理工王美玲 Nat. Commun.:用于可逆海水提锂的吸附响应式光热离子泵 2025-10-11
- 南京理工大学傅佳骏/赵梓含等 AFM:基于“滑轮”耗散效应的新型强韧可逆环氧树脂胶黏剂 2025-08-26
- 同济大学刘国锋、张弛与华东理工曲大辉团队 AFM:氯桥介导超分子聚集体实现圆偏振发光颜色调控及手性信号可逆反转 2025-07-22
- 哈工程刘天亿、施悦/复旦大学孔彪 Angew:聚合物半导体纳米马达实现多通道可控三维运动与微生物灭活 2025-08-27