温敏聚合物具有在温度改变时做出实时、可逆响应的能力,使其在众多智能材料中脱颖而出。目前研究较多的是具有低临界相溶温度(LCST)的温敏聚合物。但是普通的温敏聚合物也具有明显的缺陷:其转变行为剧烈,转变区域极窄。以聚(N-异丙基甲基丙烯酰胺,PNIPAM)为例,其在极小的温度区间内(通常为1 ℃),即从舒展变为收缩状态。极窄的转变区域在一定程度上限制了其应用范围和领域。例如,利用PNIPAM的舒展/收缩以调节织物孔隙大小,控制织物透气性和保暖性。但极窄的转变区域,无法实现随外界温度升高而逐步收缩,线性地增加织物透气性。
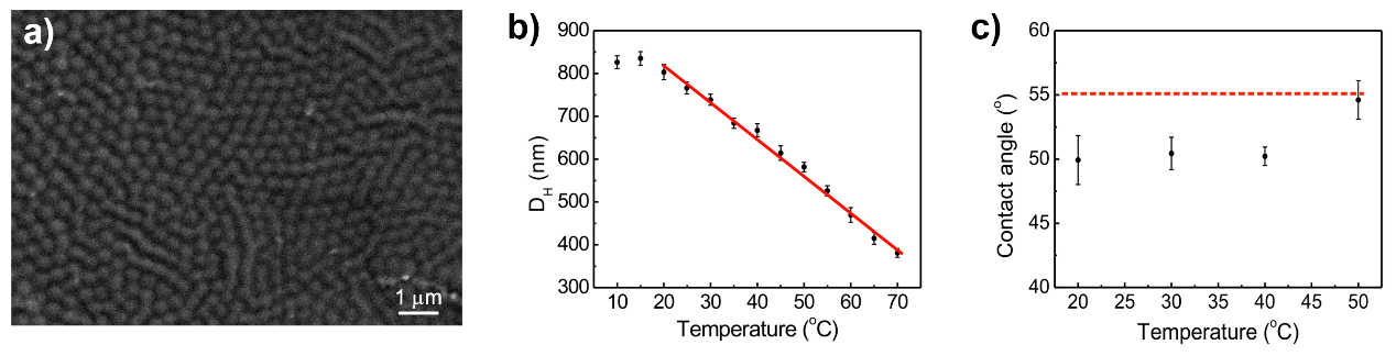
针对这一问题,浙江理工大学钟齐副教授团队利用丙烯酸酯类温敏聚合物的转变温度(TT)与侧链所含乙氧基数相关的特性,利用自由基沉淀聚合将侧链含2个乙氧基的2-甲基-2-丙烯酸-2-(2-甲氧基乙氧基)乙酯(MEO2MA,TT=25 ℃)、8-9个乙氧基的寡聚环氧乙烷甲基丙烯酸酯(OEGMA300,TT=60 ℃)与甲基丙烯酸乙二醇酯(EGMA)共聚制备获得了具有规整尺寸的温敏微凝胶(图1a)。获得的微凝胶不仅在宽温度区间内具有良好的温度线性响应特性(图1b);并且微凝胶表面在日常穿着中(20-50 ℃),接触角均小于50°,具有良好的亲水性(图1c)。
图1:(a)P(MEO2MA-co-OEGMA300-co-EGMA)温敏微凝胶的SEM图;(b)微凝胶在升温过程中的粒径线性变化;(c)微凝胶在20-50 ℃范围内的接触角变化。
在此基础上,利用微凝胶中EGMA所含的羟基,将其交联固定于棉织物表面后,不仅实现了棉织物的透湿性随温度升高的线性增加(图2a),提升了衣物穿着的舒适度;并且借助微凝胶表面的亲水性,达到了良好的抑制细菌粘附功能(图2b)。相关研究成果已发表于ACS Applied Materials & Interfaces(ACS Appl. Mater. & Inter. 2019, 11, 30269-30277)。
图2:交联P(MEO2MA-co-OEGMA300-co-EGMA)温敏微凝胶的棉织物:(a)透湿率随温度的线性变化(黑点:原棉;红点:增重率15%;蓝点:增重率30%);(b)30 ℃下抑制大肠杆菌和金黄色葡萄球菌粘附(黑色柱:增重率15%;红色柱:增重率30%);(c)交联微凝胶的棉织物线性调控透湿性和抑制细菌粘附的示意图。
除了在智能纺织品领域的应用,钟齐副教授团队还将具有温度线性响应特性的微凝胶应用拓展至红外探测器。通过MEO2MA 、OEGMA300和丙烯酸(AA)制备P(MEO2MA-co-OEGMA300-co-AA)温敏微凝胶,利用其同样具有的线性响应特性与金纳米棒的表面等离子体共振效应相结合,借助金纳米棒在红外辐照下能够共振发热且发热量与红外强度成正比的特点,结合温敏微凝胶对温度的线性响应特性,首次制备获得了基于温敏微凝胶的红外薄膜探测器(图3)。
图3:将具有温度线性响应特性的P(MEO2MA-co-OEGMA300-co-AA)温敏微凝胶与金纳米棒结合,制备红外薄膜探测器的示意图。
制备获得的红外薄膜探测器,其膜厚随着红外辐照强度的提升而呈线性下降(图4a)。由于水的电阻远大于聚合物,当温敏微凝胶线性收缩排水后,其电阻亦表现出了线性响应特性(图4b)。与膜厚的测量需要特殊仪器相比,薄膜的电阻可以方便地通过电阻仪获得,极大程度地方便了该类红外薄膜探测器的使用。此外,该类红外薄膜探测器亦具有快速响应特性,在施加红外辐照后,薄膜能够快速响应,并且具有良好的可重复性(图4c)。
图4:基于P(MEO2MA-co-OEGMA300-co-AA)温敏微凝胶和金纳米棒的红外薄膜探测器:(a)薄膜厚度随红外辐射强度的变化;(b)薄膜电阻随红外辐射强度的变化;(c)薄膜电阻在红外辐射开/关循环中的变化(蓝点:无金纳米棒;黑点:0.05wt%金纳米棒溶液;红点:0.2wt%金纳米棒溶液)。
由于该红外薄膜探测器仅需在基底上通过简单旋涂微凝胶和金纳米棒的混合溶液即可获得,且红外响应灵敏,能够应用于可穿戴设备和电子皮肤等众多领域。相关研究成果已发表于ACS Applied Materials & Interfaces(ACS Appl. Mater. & Inter. 2020, 12, 34180-34189)。
论文的第一作者为浙江理工大学硕士生谷攀,通讯作者为钟齐副教授,共同通讯作者为浙江理工大学戚栋明教授、上海工程技术大学王际平教授。该课题研究获得了国家自然科学基金(项目批注号:51403186、51611130312),浙江理工大学基本科研业务费专项资金资助(项目批注号:2019Q015)和教育部留学回国人员科研启动基金资助。
原文链接:
https://pubs.acs.org/doi/10.1021/acsami.9b09294
https://pubs.acs.org/doi/10.1021/acsami.0c08049
下载:
1、Linear Control of Moisture Permeability and Anti-adhesion of Bacteria in a Broad Temperature Region Realized by Cross-Linking Thermoresponsive Microgels onto Cotton Fabrics
2、Infrared Thin Film Detectors Based on Thermoresponsive Microgels with Linear Shrinkage Behavior and Gold Nanorods
- 浙理工钟齐教授团队《Adv. Opt. Mater.》:受唐代装饰纹样启发的复合纳米凝胶基可涂绘型纹身贴用于紫外线辐照监测 2023-01-07
- 北化尹梅贞教授团队《Nano Today》:双重增敏的苝酰亚胺基纳米光诊疗剂用于肿瘤温和光治疗 2022-03-22
- 华南理工大学贾永光《Chem. Eng. J.》综述:具有最高临界溶液温度的聚合物药物载体及其应用 2022-01-10
- 川大张兴栋院士团队王启光/樊渝江:自润滑杂化外泌体微凝胶通过体内靶向Foxo3基因编辑调控软骨细胞线粒体自噬以缓解骨关节炎进展 2025-01-24
- 浙江大学高长有教授团队 AFM: 新型棒状微凝胶支架促进皮肤愈合并减少瘢痕形成 2025-01-18
- 天津大学史志远教授团队招聘科研助理 - 高分子化学、微凝胶/微囊泡/脂质体、酶包裹递送载体、微流控 2024-12-17