搜索:  
浙大潘鹏举教授团队:发现并揭示链缠结在多晶态高分子结晶和相转变中的重要作用
2022-01-30  来源:高分子科技

  链缠结是柔性长链高分子的固有特性。与缠结高分子相比,解缠结的高分子链更容易形成规整折叠的晶体,通常具有更快的结晶速度。另外,在不同的加工条件下,结晶性高分子可形成不同的晶型;由于稳定性的差异,高分子多晶型之间可发生相转变,相转变动力学依赖于结晶相和非晶相中分子链的构象、堆积状态和运动性。作为物理交联点,缠结点显著影响分子链的运动能力,进而影响高分子不同晶型的形成动力学和相转变。但是,在分子链尺度上,链缠结对高分子不同晶型形成动力学和相转变行为的影响规律与机制目前尚不清楚。


  浙江大学潘鹏举教授团队商业化的高分子量等规聚丁烯-1PB-1为研究体系,制备了一系列缠结程度不同的样品,系统研究了其结晶动力学和晶相转变行为,发现解缠结降低了晶型II的结晶速度,加速了II-I晶相转变,并揭示了相关的机理。
通过冷冻干燥制备了不同缠结程度的聚丁烯-1样品(图1a)。流变分析表明,冷冻干燥的样品具有较低的模量,通过改变冷冻干燥前驱体溶液的浓度,可有效地控制样品的缠结程度(图1b,c)。解缠结的样品在熔融态长时间剪切作用后,可重新恢复至缠结的状态(图1d)。


1 链缠结结构示意图和流变测试结果


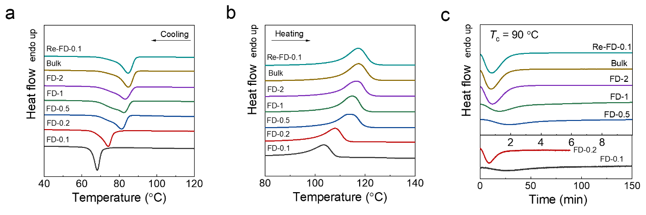
  与完全缠结(溶液浇筑和重新缠结)的样品相比,冷冻干燥制备的低缠结程度样品具有较慢的结晶速率(图2),表明解缠结减缓了晶型II的生成速率。这些结果不同于常规的高分子体系(通常是解缠结加速结晶),这是因为解缠结提高了聚丁烯-1侧基的活动性,进而增加了晶型II形成的位阻。

2 不同缠结程度样品的结晶动力学


  除了对结晶动力学的影响,链缠结显著影响聚丁烯-1II-I晶相转变。在晶型III的转变过程中,低缠结程度样品呈现更快的晶型转变速率和较大的最终转变率。基于晶相转变的动力学分析,发现解缠结大大缩减了II-I晶相转变的时间,但不影响晶相转变过程的成核和生长方式(图3)。

3 II-I晶相转变的原位WAXS结果


  为了揭示缠结程度影响晶相转变的机理,利用固体核磁的T2弛豫表征了不同缠结程度样品的分子链活动性(图4a,b)。低缠结程度样品表现出更慢的弛豫速率,其结晶相和非晶相的弛豫时间均较长,表明解缠结提高了分子链的活动性。对于低缠结程度样品,其较高的分子链活动能力降低了II-I晶相转变的成核能垒,同时加速了晶型I在生长阶段的链构象转变(图4c)。

4 II型晶的固体核磁T2弛豫结果(a,b)II-I晶相转变的示意图(c)


  上述结果表明,链缠结在多晶态高分子的结晶和晶相转变中发挥着重要的作用。解缠结减缓了聚丁烯-1晶型II结晶速率,加速了晶型III-固相转变。研究结果将有助于在分子链水平上深入理解高分子多晶型形成与相转变的机理。


  上述结果Retarded Crystallization and Promoted Phase Transition of Freeze-Dried Polybutene-1: Direct Evidence for the Critical Role of Chain Entanglement”为题发表在ACS Macro Letters上(ACS Macro Lett. 2022, 11, 257?263)。论文第一作者为浙江大学博士生倪玲玲,通讯作者为潘鹏举教授研究得到了中科院长春应用化学研究所门永锋研究员课题组的帮助,以及国家自然科学基金和浙江大学衢州研究院的支持

  论文链接:https://pubs.acs.org/doi/pdf/10.1021/acsmacrolett.1c00794

版权与免责声明:中国聚合物网原创文章。刊物或媒体如需转载,请联系邮箱:info@polymer.cn,并请注明出处。
(责任编辑:xu)
】【打印】【关闭

诚邀关注高分子科技

更多>>最新资讯
更多>>科教新闻