搜索:  
南科大陈忠仁教授团队 Macromolecules: 动力学因素下高分子共混的增容机制打破共识
2023-08-03  来源:高分子科技

  利用嵌段共聚物来增容共混高分子,是一种简易有效的高分子改性策略。二十多年来,科学界广泛认为对称性两嵌段共聚物在热力学平衡状态下具有最佳的增容效果。然而,在动力学过程中,两嵌段共聚物的结构对称性对高分子共混体系的增容作用和机制还是未知。对称还是非对称,这是一个问题。


  近期,南方科技大学陈忠仁教授团队利用阴离子聚合方法精准合成了一系列数均分子量相同(Mn)但具有不同嵌段比(非对称/对称)的聚丁二烯-b-聚异戊二烯(PB-b-PI)两嵌段共聚物(表1,图1-2),并以此共聚物与PBPI的混合物为模型系统,通过微观形貌观测,流变学和力学测试相结合,研究了嵌段共聚物(BCPs)的组成对称性在动力学因素(不同共混顺序)下对PB/PI共混物增容性能的影响。


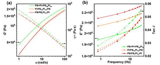
  该研究工作表明,BCPs的加入降低了分散相(PB)的相尺寸(图3,图4,表2),同时打破了高分子加工性能和力学性能无法同时提升的魔鬼难题(trade-off),实现了其加工特性和力学性能的同时提升。即未硫化前,加入BCPs的共混物其加工粘度比未加入BCPs的共混物更低(图5);而硫化后,加入BCPs的共混物其动态力学性能(图6)、抗裂纹扩展能力(图7)、拉伸性能(图8)都比未加入BCPs的共混物更好。


  更有意思的是,在顺序共混下非对称的BCPs甚至表现出比对称BCPs更好的增容效果,即加入非对称BCPs的共混物显示出更小的分散相尺寸(图4)和更优异的力学性能(图5-8)。作者提出了一种顺序共混下BCPs的组成对称性对其在共混界面分布的作用机制(图9)。当BCPs的短链对应先共混的均聚物时,BCPs的短链越短,BCPs越易分布于共混物界面,其增容作用越显著,从而提高PB/PI共混物的力学性能。进一步的研究发现,顺序共混策略中增容效果最优的非对称BCPs,其增容效果比一锅法共混中的对称BCPs更佳(图10)。值得注意的,这一结果打破了二十多年来被科学界广泛认同的对称BCPs具有最佳增容效果的传统观点。

 

1 嵌段共聚物PB-b-PI合成路线


嵌段共聚物PB-b-PI微观结构表征 


2 嵌段共聚物PB-b-PIGPC (a) 和 1H-NMR (b)表征

 

3 PB/PI共混物与PB/PB-b-PI/PI混合物未硫化样品的AFM-IR显微图


 PB/PI共混物与PB/PB-b-PI/PI混合物硫化后样品的AFM-IR显微图


平均分散相尺寸计算结果

 

PB/PI共混物与PB/PB-b-PI/PI混合物未硫化后样品的流变性能

 

6 PB/PI混合物和PB/PB-b-PI/PI混合物硫化后样品的动态力学性能测试

 

7 PB/PI混合物和PB/PB-b-PI/PI混合物硫化后样品的裂纹扩展性能

 

8 PB/PI混合物和PB/PB-b-PI/PI混合物硫化后样品的单轴拉伸力学性能


 BCPPB/PI界面分布机理图


 10 一锅法的对称BCP增容与不同顺序共混最优增容下的加工特性与动态力学性能对比


  该工作以Enhanced Performance of Polybutadiene/Polyisoprene (PB/PI) Blend with Asymmetric PB-b-PI Diblock Copolymer为题发表在《Macromolecules》上(Macromolecules Article ASAP)。文章第一作者是南方科技大学博士邓寅虎博士,共同一作是南方科技大学硕士生孙赫。该研究得到国家重点研究发展计划、国家自然科学基金委、深圳特别基金以及广东省重点实验室的支持。


  原文链接:https://doi.org/10.1021/acs.macromol.3c00742

版权与免责声明:中国聚合物网原创文章。刊物或媒体如需转载,请联系邮箱:info@polymer.cn,并请注明出处。
(责任编辑:xu)
】【打印】【关闭

诚邀关注高分子科技

更多>>最新资讯
更多>>科教新闻