搜索:  
西安交大刘峰教授/Goran Ungar教授团队 JACS:Fddd液晶中相反螺旋纽带的对映体自分类 - 反铁手性和顺手性
2023-09-01  来源:高分子科技

  手性结构及其调控方式与生命现象密切相关,是近些年化学、物理、材料、生物、等众多领域中的及其重要的研究方向。理解和控制手性的形成对基础研究以及工业应用都具有举足轻重的作用,然而如何探究生命分子的整体单一手性起源仍然是本领域的研究热点和难点。柱状相作为典型的一维结构,存在于许多π共轭化合物的1D维半导体中,它们可用于光收集和光发射、传感器、离子导体等,将这些特征与手性相结合可以增强它们作为功能材料的多样性。然而,常规意义上的柱状相由熔融的柔性链把液晶柱相互隔离,实际上是一个一维的系统。传统意义上,由于螺旋反转缺陷的存在,在一维的系统中是不可能维持手性的长程有序。因此,截止目前为止,对于柱相结构中长程均一手性的形成机理以及构筑方的研究还十分有限。


  针对上述科学问题,西安交通大学刘峰教授/Goran Ungar教授团队与河南工业大学、罗马尼亚科学院、南京大学以及英国谢菲尔德大学的研究人员合作,借助于上海同步辐射光源英国钻石同步辐射光源以及西安交通大学分析测试中心等仪器设备,合成并研究了一系列具有手性中心的多链型分子在不同温度下的自组装行为研究发现纯R-C10S-C10对映体能够自发形成短程有序的手性六方柱状相(Colh*),而其外消旋混合物则能够形成长程有序的正交Fddd相,每个晶胞由4个右旋柱和4个柱子左旋柱组成。在该结构中,对映体表现出明确的自分类现象,有序地排布于对应手性的螺旋柱中,两组相反手性的网络使得Fddd正交液晶相整体表现为非手性状态。在此基础上,进一步研究揭示了Fddd相中长程手性柱的形成机理以及构筑方式。


  如图1所示,R?S外消旋混合物会形成高度有序的Fddd其具有4个右旋和4个左旋的螺旋柱,穿插于整个晶胞中。在自组装过程中,两种对映异构体局部去外消旋并自分类形成相应的螺旋柱。此外,去除手性中心后,该非手性N-C10化合物仅形成Colh相,而非Fddd相,表明了手性在自组装行为中的巨大作用。 


1. 用于研究自组装行为的多链型分子结构R-C10S-C10,纯对映体形成的手性六方柱状相(Colh*)和外消旋体形成的Fddd相模型


  研究人员利用小角X射线散射技术对降温过程中的结构的衍射强度进行了测试,结果表明Colh相中存在短程的类Fddd碎片。在图2中,可以看到随着温度降低,= 2.8 nm?1周围的漫散射持续增加。相转变时,在同一范围内出现一个明显的信号,该信号是Fddd(131)(511)(620)散射信号的叠加。同时,1.5 nm?1处柱状相信号周围的漫散射连续减少,表明柱子的热波动持续性减少。而这种漫散射在Colh-Fddd转变后仍没有完全消失,是Fddd相液晶性的侧面表现。 


2. (a) RS1:1-C10混合物的高温Colh(75 °C, 蓝色)和低温Fddd(45 °C, 洋红色)SAXS结果。Fddd衍射图中的红色和黑色峰是重叠分量,其强度依据对应的GISAXS信号强度确定。(b) RS1:1-C10WAXS随温度变化示意图。(c) RS1:1-C10混合物和(d) R-C10对映体的连续降温SAXS曲线。q = 2.8 nm?1 附近的漫散射随接近Fddd相而增加。


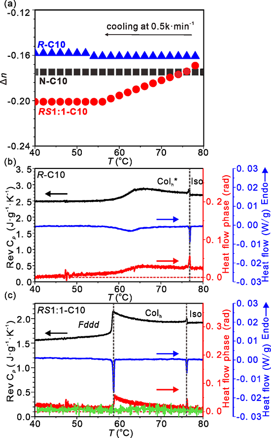
  研究人员基于自组装结构分析,进一步探究了长程有序手性产生的过程。首先利用调制DSC(MDSC)对外消旋混合物及纯对映体的自组装行为进行研究。如图3所示,通过MDSC发现降温的过程中热容逐渐增大,暗示了柱状相降温过程中逐渐形成了Fddd碎片。此外,随着温度的降低,外消旋混合物中线性双折射的强度是逐渐增加的,也能辅助证明在柱状相降温的过程中逐渐形成了Fddd碎片。 


3. (a) 化合物R-C10N-C10RS1:1-C10混合物的线性双折射。(b) R-C10(c) RS1:1-C10MDSC结果。在(bc)中,顶部(黑色)曲线是反向热容,中间(蓝色)曲线是总热流,底部(红色)是相位滞后角。MDSC实验中,冷却速率为0.04 K/min,振荡幅度为±0.07 K,振荡周期为20 s(c)中绿色迹线的调制周期为60秒。


  此外,针对纯对映体所形成的柱相结构,研究人员利用穆勒矩阵修正的同步辐射CD光谱,抽离线性双折射和二色性对CD信号的影响,实现对自组装结构手性的深入研究。如图4所示,纯对映体的Colh*相的旋光性随着温度的降低持续增强。 


4. R-C10纯对映体的Mueller矩阵旋光实验结果,数据记录的是薄膜样品从90 °C(各向同性液体)冷却至30 °C过程中的变化示意图。(a) 圆延迟(CR)光谱(与旋光色散成比例)(b) 310 nm处的CR值随温度的变化。(c) 圆二色性(CD)光谱。(d) 310 nm处的CD值与温度的关系。(ac)中冷却速率为 5 K/min(bd)中冷却速率为0.5K/min


  最终,研究人员结合构象分析,对纯对映体和非手性N-C10都不能形成Fddd相这一特殊现象做出了解释。其核心在于丁酸或者丙酸与噻吩之间C-O键的扭转角,如图5所示N-C10只存在一个能垒,分子倾向于自由旋转,形成Colh相以获得更高的熵增益,采取Fddd密堆积所获得的能量增益不足以抵消这种熵增益,因此倾向于形成Colh。而对于具有手性的纯对映体,纯对映体如果形成Fddd相,将导致仅有一半的分子可以在其结构优势的手性柱中,而另一半则必须采用不利的低熵构象并跨越125 kJ/mol的高能垒以适应相反手性螺旋柱的扭曲。将导致纯对映体中出现40nm大小的高度扭曲Fddd碎片,尽管具有相互作用,但是不足以诱发长程有序。而以上问题在外消旋体中并不存在,在外消旋体混合物中,每个对映体都采取有利的高熵构象有序地排布于对应的Fddd晶格的螺旋柱中。 


5. (a) S-C10(b) N-C10分子链段的几何优化结构。其扭转角α3以 10° 为步长变化,计算势能E(α3)(c) R(蓝色)S(红色)和 N(黑色虚线)化合物的E (α3)(d) SD1:1混合物Fddd相中的两个反手性柱,对映体通过自分类正确方向螺旋扭曲以最大化芳香环重叠:RD分子为左扭曲,SL分子为右扭曲。RS表示对映异构体,D =右旋,L =左旋,撇号表示不利的分子内扭曲方向。(e) “不正确的扭曲柱。(f, g) 纯对映体中局部簇的一部分:柱正确螺旋扭曲,但其中一半包含不利扭曲的分子。


  近日,该研究成果以《Fddd液晶中相反螺旋纽带的对映体自分类-反铁手性和顺手性(Enantiomers Self-Sort into Separate Counter-Twisted Ribbons of the Fddd Liquid Crystal-Antiferrochirality and Parachirality)为题发表在化学领域旗舰期刊《美国化学会志》《Journal of the American Chemical Society》上。西安交大材料学院博士生汪艳与河南工业大学的李亚馨博士该论文共同第一作者,通讯作者是西安交大金属材料强度国家重点实验室的Ungar Goran教授和刘峰教授,陕西省软物质国际联合研究中心与西安交大金属材料强度国家重点实验室为本文的第一单位,该研究工作得到了国家自然科学基金、111计划2.0项目的共同资助。本工作是刘峰教授领导的研究团队近期在化学类旗舰期刊《J. Am. Chem. Soc.(2022, 144, 6936-69452023, 145, 1000–1010)后在液晶自组装领域取得又一重要研究成果。


  论文链接:https://pubs.acs.org/doi/epdf/10.1021/jacs.3c06164

版权与免责声明:中国聚合物网原创文章。刊物或媒体如需转载,请联系邮箱:info@polymer.cn,并请注明出处。
(责任编辑:xu)
】【打印】【关闭

诚邀关注高分子科技

更多>>最新资讯
更多>>科教新闻