搜索:  
长沙理工大学张跃飞/李焰课题组 CES:pH响应性PHGC/MXene水凝胶在染料废水处理中的应用
2024-10-08  来源:高分子科技

  随着工业化与城市化的加速推进,能源危机与环境污染成为全球面临的重大挑战。特别是有机染料废水的排放,不仅污染了宝贵的水资源,还对生态系统造成了不可逆转的影响。这些废水中含有的两性污染物(如酸性和碱性染料)因其复杂的化学结构和广泛的pH适应范围,给传统处理方法带来了巨大挑战。因此,开发一种能够有效应对不同pH条件下污染物的新型材料显得尤为迫切。


1. pH响应性PHGC/MXene水凝胶吸附染料的摘要图


  染料废水中的两性污染物具有不同的电荷特性,在不同的pH环境下表现出不同的溶解性和吸附行为。传统的处理技术如物理沉降、化学氧化等往往难以同时兼顾多种条件下的高效去除。pH响应性材料能够在特定pH值下发生结构性变化,从而实现对目标污染物的选择性吸附或释放。这种智能响应特性为解决复杂废水处理问题提供了新的途径。


  长沙理工大学化学与化工学院张跃飞教授/李焰副教授研究团队通过合成基于MXene复合L-半胱氨酸接枝HEMAPHGC/MXene)的三维水凝胶,成功开发了一种具有优异pH响应性的吸附剂(Chemical Engineering Science2024, 300, 120648)。该材料不仅能在不同pH条件下高效去除染料,还能保持良好的循环稳定性,为染料废水净化提供了一个创新且高效的解决方案。


  研究团队通过自由基聚合反应将L-半胱氨酸引入到HEMA中形成共聚物,再通过溶液混合法将其与MXene纳米片结合,最终制备出PHGC/MXene水凝胶。在不同pH值条件下,考察了PHGC/MXene对甲基蓝(AB93)和亚甲基蓝(MB)的吸附性能,并确定了最佳吸附条件。通过动态固定床实验,模拟实际污水处理过程中的连续流操作模式,评估了材料在流动体系下的稳定性和长期使用效果。利用计算化学手段深入探讨了PHGC/MXene与染料分子之间的相互作用机制,为进一步优化设计提供理论支持。


2. PHGC/MXene水凝胶吸附AB93MB的表征


3. PHGC/MXene水凝胶吸附染料的动力学研究


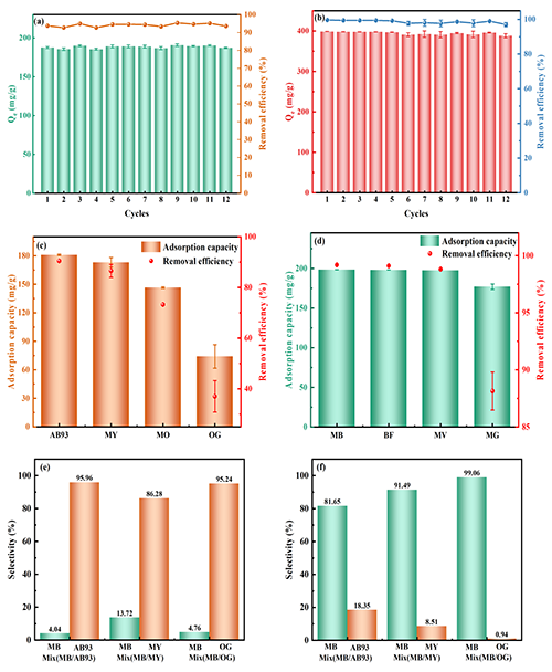
4. PHGC/MXene水凝胶的循环利用性和吸附选择性


  实验结果显示,在酸性条件下(pH=2.0)PHGC/MXeneAB93的最大吸附量达到207.47 mg/g;而在碱性环境下(pH=11.0),对于MB的最大吸附容量更是高达555.56 mg/g。这种显著的选择性吸附特性使得该材料能够针对特定类型的污染物进行高效处理。经过多次脱附-再生循环后,PHGC/MXene仍然保持了超过90%的染料去除率,表明其具有出色的重复使用性能。动态固定床测试证实了PHGC/MXene在连续流系统中的优异表现,适用于大规模废水处理工程。分子动力学模拟揭示了PHGC/MXene与染料分子之间存在的静电吸引及氢键等相互作用力,从而实现了高效的捕获与分离过程。


  pH响应性材料的发展为处理复杂废水提供了新的思路,特别是在面对含有多种性质污染物的工业废水时,其独特的选择性和可控性使其成为极具潜力的技术方向。未来,随着相关技术的不断进步和完善,有理由相信这类智能材料将在环境保护领域发挥越来越重要的作用。


  文章链接:https://doi.org/10.1016/j.ces.2024.120648

版权与免责声明:中国聚合物网原创文章。刊物或媒体如需转载,请联系邮箱:info@polymer.cn,并请注明出处。
(责任编辑:xu)
】【打印】【关闭

诚邀关注高分子科技

更多>>最新资讯
更多>>科教新闻