搜索:  
上海交大俞炜教授课题组 Macromolecules:聚合物熔体拉伸流变中π-π堆积和侧链自稀释效应的协同分子机制
2025-03-04  来源:高分子科技

  非线性拉伸流变学中瞬态应变硬化的起始和程度对高分子加工及应用具有决定性影响。尽管Rouse模型和管子模型作为经典分子理论,已为聚合物熔体线性黏弹性的普适性描述奠定了重要基础,但线性聚合物在拉伸流场下应变硬化的分子机制仍存在显著争议。目前,已经提出了流场诱导单体摩擦系数增强和降低两种观点以解释不同聚合物中的实验结果。近期研究进展揭示了两种机制的复杂性。一方面,非缠结的短侧链苯基聚合物(PVBP)中能够在流场诱导下形成更强的π-π堆积作用,导致摩擦系数增强;另一方面,基于增强拉伸松弛(ERS)模型的研究表明,较长的烷基侧链可能通过溶剂化效应稀释主链骨架,从而减弱了摩擦系数的降低。然而,特殊的分子结构设计可能使聚合物同时具备长烷基侧链以及π-π堆积作用。这使得两种机制的相对重要性成为亟待解决的科学问题。


  近日,上海交通大学流变学研究所俞炜教授和博士生尚泊丞基于之前研究的光可逆调控侧链构象的偶氮苯高分子(Macromolecules 2022 55 (9), 3711-3722),合成了一系列各向同性非缠结的偶氮苯共聚物和烷基侧链共聚物,如图1所示。结合大应变下的瞬态拉伸流变与原位广角X射线散射(WAXS)技术,系统地研究了侧链自稀释和π-π堆积作用与非线性拉伸流变之间的关系。


图1.(a)偶氮苯聚合物的化学结构和光异构化。(b)具有不同摩尔分数的甲基丙烯酸丁酯和偶氮苯的无规共聚物样品(Co1-Co5),以及投料比m=0.8的烷基链无规共聚样品(Co6Co7)。


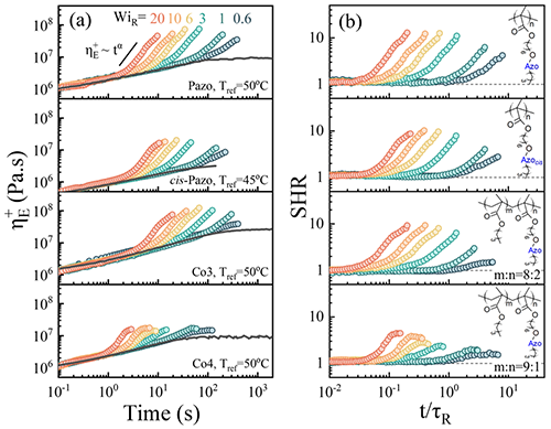
  图2分别展示了部分样品的非线性拉伸流变和瞬态应变硬化能力。在所有样品均处于Rouse类型的线性黏弹性下,含有偶氮苯基团的样品相较于仅含烷基侧链的样品,表现出显著增强的瞬态应变硬化能力。


图2.部分样品的瞬态拉伸粘度(a)和瞬态应变硬化比与归一化时间的函数关系(b)。


  为了更深入地理解上述非线性拉伸流变的显著差异性,作者系统分析了所有样品的应变硬化能力与韦森堡数之间的关系,并基于分子结构特征将其分为三类进行讨论,如图3所示。(a)构象对应变硬化的影响:反式和顺式偶氮苯聚合物在缓慢拉伸区出现差异而在快速拉伸时趋于相同,主要是因为在缓慢拉伸下,顺式构象位阻较大,不能有效堆叠导致π-π堆积作用相对较弱,而在快速拉伸下由于主链的聚集排列,构象的作用显著削弱;(b)烷基侧链对应变硬化的影响:仅含烷基侧链的样品在缓慢拉伸下未表现出应变硬化现象,可能是由于烷基侧链之间缺乏相互作用(如π-π堆积)。然而,在快速拉伸下,应变硬化能力随平均侧链长度增加而增强,该现象可以用侧链自稀释效应解释;(c)侧链自稀释和π-π堆积作用的相对强弱:在快速拉伸条件下通过对比平均侧链长度相同但组成不同的共聚物研究发现即使偶氮苯的摩尔分数降低至0.20Co3样品),其应变硬化能力仍显著高于仅含烷基侧链的共聚物(Co6Co7),这一差异明确表明π-π堆积作用对应变硬化的贡献占主导地位。例如在韦森堡数为10时,大约38%的应变硬化源于自稀释效应,而约62%则归因于π-π堆积作用。


3所有样品的最大应变硬化比SHRmaxa-c)与韦森堡数WiR的函数关系。其中,(c)的封闭阴影区域表示由与偶氮共聚物(Co3)具有相同平均侧链长度的聚合物(Co6Co7PHMA)确定的侧链自稀释效应。


  通过原位广角WAXS拉伸测试,系统研究了π-π堆积结构的动态演变过程,结果如图4所示。研究表明,偶氮苯聚合物拉伸过程中,流动诱导π-π堆积效应增强,即大量的T形构型π-π堆积沿垂直于拉伸方向上增强,而少量的平行构型的π-π堆积则沿拉伸方向增强。这一发现与黄茜教授等人报道的短侧链刚性苯基聚合物(PSPVBPP2VP)的行为相反,推测可能与侧链的柔顺性有关。


  本工作表明,侧链自稀释效应和π-π堆积效应对应变硬化的协同机制可能是含苯基长侧链聚合物中的一种普适特征。


4. a)偶氮苯聚合物两条相邻分子链的示意图。(b)顺式异构体可能形成的π-π堆积示意图。(cπ-π堆积堆积的三种构型及其特征距离。缓慢拉伸下,偶氮苯聚合物链分别沿拉伸方向(d)和横向方向(e)的归一化1-D WAXS曲线。


  作者衷心感谢四川大学黄茜教授对本工作提供的讨论与帮助。作者感谢上海同步辐射光源为本研究提供的广角WAXS测试机时。


  上述研究成果以“Extensional Rheology of Unentangled Azobenzene Polymers: Synergetic Effect of π - π Interactions and Side Chain Self-dilution为题发表在Macromolecules 2025, 58, 4, 1912–1922上。论文的第一作者是上海交通大学化学化工学院的博士研究生尚泊丞俞炜教授为通讯作者。该项工作得到国家自然科学基金52333001的资助。


  原文链接:https://doi.org/10.1021/acs.macromol.4c02687

版权与免责声明:中国聚合物网原创文章。刊物或媒体如需转载,请联系邮箱:info@polymer.cn,并请注明出处。
(责任编辑:xu)
】【打印】【关闭

诚邀关注高分子科技

更多>>最新资讯
更多>>科教新闻