搜索:  
宁波大学徐玉赐教授课题组 Macromolecules: 高分子双链融合的历史过程
2025-03-22  来源:高分子科技

  两根高分子链是如何融合以及分离是一个非常有趣的问题,受观察手段的限制,很难在实验上观察到两根高分子链融合及分离过程。而理论上如何固定链的质心并且捕捉到融合及分离的过程也是一个难点,尤其是当融合过程中还耦合了单链的榻缩转变,如何处理这种大形变下的单链构象转变是一个巨大的挑战。



  近日,宁波大学徐玉赐教授课题组发展了一套研究双链相互作用的理论方法,并且研究了单链榻缩转变对双链相互作用的影响。发现在特定的条件下,融合会诱发单链发生榻缩转变:通过双链相互作用势得到了第二维里系数表明线团之间存在有效的吸引相互作用,这说明在高分子溶剂中,单链可以不经历榻缩转变而直接发生相分离。这与小分子溶剂中的相分离有所不同,通常认为单链会先发生榻缩转变,然后再分相。在对融合的逆过程—分离的研究中发现分离会诱导单链从榻缩的小球到线团的转变,并且当溶剂链长较长时,融合与分离存在明显的历史过程。具体如下:


  首先,为了研究两根链的相互作用,课题组在前期研究单链榻缩转变发展的方法之上,考虑了融合过程中链会产生较大的形变,因此结合δ函数来固定链的质心,重新推导得到体系的配合函数,从而可以有效的研究两根链的融合过程(如图1)。


图1:相互作用的理论模型及得到的配分函数。


  根据发展的理论方法,他们就可以描述链的融合过程,如图2所示,当溶剂链长较短的时候,许多的溶剂能进入到榻缩的小球中,他们称之为“湿”小球。在特定的条件下,融合会诱发单链发生榻缩转变,而分离同样会引起高分子单链从榻缩的小球转变为溶胀的线团。通过描述融合及分离过程中相互作用势及相互作用力,发现融合及分离过程的力存在微小的差别,这预示着当溶剂链长增加的时候,融合及分离可能存在明显的历史过程。


图2:短链溶剂中双链融合及分离过程。


  为了验证这样的设想,他们增大溶剂的链长。溶剂链长的增加会导致榻缩的小球中几乎没有溶剂分子,也就是所谓的“干”小球。研究表明长链溶剂下融合及分离过程存在明显的历史过程。并且PMF上能够得到交点,这个交点也就定义了融合诱导榻缩转变的转变点。同时,发现融合及分离过程力也呈现明显的不同。


图3:长链溶剂下双链的融合及分离过程。


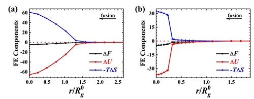
  观察到高分子双链在不同长度的溶剂链长下的融合及分离过程之后,他们很想明确融合的驱动力是什么。因此剥离出相互作用势的熵和焓两部分,并进行了分析,如图5所示。结果表明,融合过程中,由于单链发生了从线团到小球的榻缩转变,体系的界面能下降;而由于最终形成的是榻缩的小球,链相当于受限的状态,链的构象熵会损失。因此融合诱导的榻缩转变主要驱动力来自于焓,这与聚电解质间完全受熵驱动现象有所区别。


图4:双链融合时熵和焓对自由能的贡献。


  最后,他们用此前的得到的PMF来计算第二维里系数,并确定θ点,通过分析发现,不管是在“湿”小球还是“干”小球体系中,都存在负的第二维里系数,这表明线团之间表现出有效的吸引相互作用,这也就意味着单链可以不经历榻缩转变而直接分相。这对理解相分离、包括生物体系的相分离具有突出的指导意义。


图5:通过PMF得到的第二维里系数。


  相关工作以“Fusion-Induced Coil-to-Globule Transition in Polymeric Solvents: A Hysteresis Process”为题发表在《Macromolecules》上。文章第一作者为宁波大学硕士研究生夏徐涛,通讯作者为徐玉赐教授。该研究得到国家自然科学基金委的支持(21973051)。


  原文链接: https://doi.org/10.1021/acs.macromol.4c02502

版权与免责声明:中国聚合物网原创文章。刊物或媒体如需转载,请联系邮箱:info@polymer.cn,并请注明出处。
(责任编辑:xu)
】【打印】【关闭

诚邀关注高分子科技

更多>>最新资讯
更多>>科教新闻