当结晶高分子与石墨烯纳米纸复合时,某些高分子晶体表现出有趣的熔点升高现象。最早在PCL/石墨纳米片(GNP)体系中报道了PCL熔点达120℃,远高于其平衡熔点(75~80℃)(ACS Appl. Mater. Interfaces 2021, 13, 59206)。一个相关的现象是Prefreezing,在高度取向热解石墨(HOPG)上,通过原子力显微镜(AFM)研究观测到PCL有序结构维持到温度为85℃(PNAS 2014, 111, 17368)。PCL/石墨烯中实际情况更为复杂,与纳米纸复合后PCL出现多个熔点,分别在56℃,75℃,85℃以及120℃,前期研究推测其来源是未取向的晶体(PCL本体晶体)、取向晶体(因在界面外延上排列有序而熔点升高)、预冻结结构(prefreezing,在聚合物仍未完全熔融时形成的薄晶层)、以及强吸附晶体(strongly adsorbed)。但是,这种现象是否具有普遍性,与样品制备、以及高分子链结构关系如何仍然不清楚。
为了进一步揭示聚合物—石墨烯材料(GRM)界面相互作用对晶体稳定性的影响,本研究聚焦于揭示石墨烯材料纳米界面对半结晶聚合物微观结构的调控作用,系统考察了不同链长的生物基聚酯(PCL、P4HB 和 PGA)在石墨烯相关材料(GRM)纳米纸中的多重熔融峰行为,并进一步评估了不同石墨烯类型(GNP、rGO)及三种纳米纸制备方法(过滤法、浸渍法和“两步”法)对该行为的影响。在此基础上,初步构建了从微观结构层面理解聚合物—纳米界面相互作用的分析框架,阐明其在调控晶体形成过程与提升热稳定性方面的关键作用。

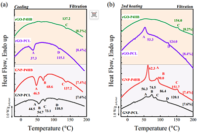
图1. 通过过滤法制备的PCL和P4HB纳米纸在GNP或rGO上的DSC曲线。(a)降温过程,(b)二次加热过程。括号中为热重分析(TGA)测得的聚合物含量。
作者结合差示扫描量热仪(DSC)、利用连续退火自称核(SSA)和可变温WAXS等表征技术,系统研究了PCL,P4HB以及PGA嵌入到GRM纳米纸中的多重熔融峰现象以及其结构特征。研究结果表明:在GRM纳米纸中,P4HB和PGA也表现出多重熔融峰,说明该特性并非PCL特有。在P4HB和PGA纳米纸中出现的高热稳定结构的熔点(P4HB:150℃;PGA:241.7℃),均高于其聚合物的平衡熔点(P4HB:79.9℃, PGA:231.5℃)。而对比研究GNP和rGO,发现更为规整的GNP促进更多的高稳定晶体的形成。

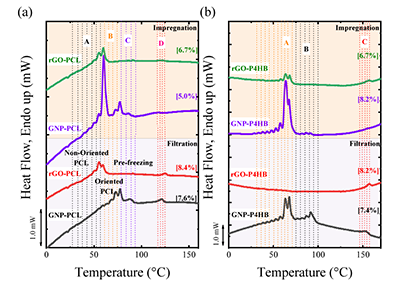
图2. 不同制备方法及不同GRM制备的PCL和P4HB纳米纸在SSA处理后的最终DSC加热曲线:(a)PCL-GRM,(b)P4HB-GRM。括号中为热重分析(TGA)测得的聚合物含量。
亚稳态的晶体可以通过连续自成核与退火方法SSA进行分级,作者运用该技术研究几个高热稳定性结构熔融峰,发现最高温度的熔融峰不能通过SSA分级,说明它可能因强界面作用而不能发生reorganization。利用同步辐射原位WAXS研究了聚合物熔融过程,发现其最高熔融峰的特性衍射信号,其消失点与DSC结果相一致(PCL约120?°C,P4HB约150?°C),说明是一种与本体结晶有区别的有序结构。
本研究表明GRM界面作用导致高于平衡熔点的晶体具有普遍性,其含量可通过样品制备和GRM有序性加以调控。研究深化了对聚合物界面结晶行为的认识,并有望为制备高力学性能、高导热/导电GRM/高分子复合材料提供基础。

图3. 原位升温过程WAXS曲线:(a)GNP-PCL,(b)GNP-P4HB。
该工作以“Different Crystalline Populations for Biopolyesters within Graphene-Based Nanopapers”为题发表于Macromolecules;论文第一作者为都灵理工大学博士生赵惠,刘国明研究员、Alejandro J. Mu?ller和Alberto Fina教授为共同通讯作者。
原文链接:https://doi.org/10.1021/acs.macromol.5c03526
- 天津大学封伟团队 AFM:氧化石墨烯-熔盐复合材料突破高温光热相变储能瓶颈 2026-04-20
- 浙江大学高超/刘英军/许震、清华大学徐志平 Nat. Mater.:室温制备高性能石墨烯基碳纤维 2025-10-21
- 武汉理工董丽杰教授团队 Mater. Horiz.: 基于无溶剂石墨烯纳米流体的氢键置换策略实现可反复热成型纤维素生物塑料 2025-08-29
- 广西大学姜言副教授团队 ACS Nano: 本征半纤维素强化纤维素纳米纸的微塑料捕获行为 2025-07-17
- 王双飞院士团队 Small:动态热稳定的摩擦电纳米纸 2023-12-17
- 西工大张秋禹教授课题组《Small》:一种机械性能可调控光热可复写PCM/CNF-IR 780储能纳米纸 2022-05-27
- 华南理工刘伟峰和广东工大邱学青 AFM:高强高韧木质素基生物聚酯弹性体 2024-04-09