全聚合物太阳电池(all-PSCs)是以聚合物给体和受体作为活性层的光电转换能源器件。相较于其他类型的有机太阳电池,all-PSCs在稳定性方面具有明显的优势,引起了业内的广泛关注。高性能聚合化小分子受体(PSMAs)的出现使all-PSCs的光电转化效率(PCE)得到很大的提升,但基于此类聚合物受体的all-PSCs的外量子效率(EQE)通常低于80%,填充因子(FF)低于0.75,表明对基于此类聚合物受体的all-PSCs,活性层形貌的调控和优化仍然是亟待研究的关键问题。
近日,华南理工大学发光材料与器件国家重点实验室段春晖教授课题组在Nano Energy上发表了在全聚合物太阳电池活性层形貌调控方面的最新研究成果,论文题为“Layer-by-layer processed binary all-polymer solar cells with efficiency over 16% enabled by finely optimized morphology”。该工作采用逐步沉积(layer-by-layer)的方法,结合溶剂添加剂和热退火的协同作用,精细调控聚合物给体和受体的形貌,给体材料的结晶相干长度(CCL)显著提高,受体形成了纤维结构。特别值得指出的是,该工作发现在LbL加工的器件中,上层受体能够扩散到下层给体的底部,直接与阳极界面相接触,形成类似于体异质结(BHJ)的结构(图1),这与以往报道的LbL处理通常形成伪双层膜或p-i-n/n-i-p结构明显不同。相似的实验现象在该课题组的另一个逐步沉积法制备全聚合物有机太阳能电池的工作中也被观察到(ACS Applied Energy Materials, 2021, 4, 13307–13315)。同时,给/受体形成了有利的垂直梯度分布,有利于激子的解离、电荷的传输,减少了缺陷态密度和电荷复合损失。基于上述优点,该all-PSCs实现了16.05%的PCE和创纪录的FF(0.77),该FF是PSMAs作为受体材料的all-PSCs的最高值。
本文要点:
1) 逐步沉积法形成了给/受体完全贯穿的类似体异质结活性层形貌
该工作发现在采用与正置器件(ITO/PEDOT:PSS/PBDB-T/PYT/PFN-Br/Ag)(图1a)完全相同的给/受体沉积顺序时,倒置器件(ITO/ZnO/PBDB-T/PYT/MoO3/Ag)(图1b)也可以正常工作,且倒置器件的最优PCE能够达到正置器件最优PCE的85%(表1和表2),这表明PBDB-T/PYT薄膜形成了类似于体异质结的形貌,PBDB-T与PYT在垂直方向上相互扩散。通过薄膜断层光谱可知,受体PYT在PBDB-T/PYT底部的含量达到35%,这种在垂直方向上完全相互渗透的给体和受体相的形成与以往报道的LbL处理通常形成伪双层膜或p-i-n/n-i-p结构明显不同。
图1. 正置器件结构(a)和倒置器件结构(b)示意图。
表1. 正置器件(ITO/PEDOT:PSS/PBDB-T/PYT/PFN-Br/Ag)在不同加工条件下的器件性能参数
表2. 倒置器件(ITO/ZnO/PBDB-T/PYT/MoO3/Ag)在不同加工条件下的器件性能参数
2) 聚合物给体 (PBDB-T)有序性的增强与聚合物受体 (PYT)纤维的形成
通过GIWAXs和AFM测试(图2)发现,上层添加剂CN能够扩散进入到下层,促进PBDB-T的结晶,使其相干长度(CCL)变大,层状有序性增强;高沸点CN能够延长PYT的结晶时间,使其形成聚合物纤维。
图2. a)不同加工条件下PBDB-T/PYT薄膜的2D GIWAXs图。b-d)1D GIWAXs图。不同加工条件下e)PYT薄膜和f)PBDB-T/PYT薄膜的AFM相图。
3) 提高激子分裂效率,降低缺陷态密度,改善电荷传输,抑制电荷复合损失
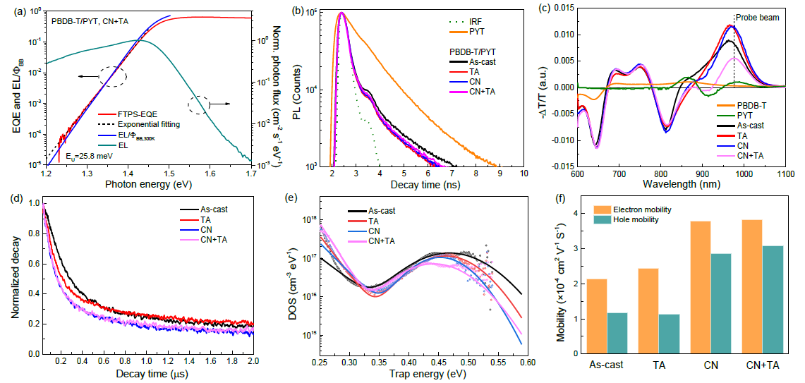
通过时间分辨光致发光谱(TRPL)、ns-μs瞬态吸收光谱(TAS)、阻抗分析仪和单载流子器件的测试可知,添加剂及热退火的协同作用在影响活性层形貌的同时对其电学性能也产生了影响(图3和表3)。
图3. a) CN+TA处理后的PBDB-T/PYT的FTPS-EQE图。b) PYT薄膜及不同加工条件下PBDB-T/PYT薄膜的TRPL曲线。c) PBDB-T、PYT和不同加工条件下PBDB-T/PYT薄膜的PIA图。d) 不同加工条件下PBDB-T/PYT薄膜的TAS图谱。e) 不同加工条件下PBDB-T/PYT薄膜的DOS图。f) 不同加工条件下PBDB-T/PYT薄膜的电子和空穴迁移率统计图。
表3. 不同加工条件下PBDB-T/PYT薄膜的物理参数
这项工作为精细调控all-PSCs中聚合物给体和受体的微结构提供了一种有效策略。结合LbL方法在控制垂直组分分布和相分离方面的内在优势,这些发现会进一步提高all-PSCs的器件性能。
论文第一作者为华南理工大学材料科学与工程学院的博士生张月和吴宝奇,论文通讯作者为华南理工大学材料科学与工程学院的段春晖教授。该工作得到了德国埃尔朗根大学Christoph J. Brabec教授与李宁博士团队、埃因霍温理工大学李俊宇研究员、华南理工大学吴宏滨教授团队、西安交通大学鲁广昊教授团队的支持。
文章链接:https://doi.org/10.1016/j.nanoen.2021.106858
- 南科大何凤教授团队《Adv. Funct. Mater.》:准平面异质结全聚合物太阳电池,协同提升稳定性的新思路 2022-05-08
- 华南理工大学段春晖教授团队 Solar RRL: 创纪录效率的P3HT基全聚合物太阳电池 2022-04-22
- 华南理工大学段春晖教授团队 Solar RRL: 非稠合小分子受体高分子化实现高效全聚合物太阳电池 2022-03-19
- 陈义旺、廖勋凡团队《Adv. Energy Mater.》:准平面异质结助力揭示有机太阳电池形貌演变 2021-01-18
- 天津大学/中国科学院大学黄辉&张昕等人Angew:多重非共价“构象锁”构筑全平面化共轭骨架的低成本有机光伏聚合物给体材料 2025-11-06
- 郑州大学孙晨凯课题组 ACS Nano:低成本聚合物给体PTQ16-10实现19.52%效率的有机太阳能电池 2024-12-31
- 南科大何凤教授课题组《ACS Mater. Lett.》:主链调控增强溶液聚集优化纤维状网络形貌实现高效的氯介导聚合物给体 2023-08-18