福建师范大学章华桂团队 Macromolecules:聚合物熔体的界面流变行为
2023-01-07 来源:高分子科技
因其高界面吸附能,纳米颗粒在乳液制备方面表现出非常好的稳定能力。受此启发,纳米颗粒也常被用作不相容聚合物共混体系的增容剂,以实现对体系微观形貌的有效稳定和最终性能调控。在此过程中,颗粒的界面流变行为起着至关重要的作用。然而,受共混体系形貌的复杂演变过程以及界面张力梯度(Marangoni应力)变化影响,迄今对于聚合物熔体的界面流变行为测量仍是一大难题。
近日,福建师范大学化学与材料学院章华桂团队将一种由聚甲基丙烯酸甲酯(PMMA)和聚苯乙烯(PS)微球构成的哑铃形Janus纳米颗粒(JNP)旋涂于典型的PMMA/PS非相容聚合物薄膜之间,构建了一种多层夹心结构的界面流变测量体系(图1)。该体系有效剔除共混体系中存在的形貌演变和Marangoni应力影响,能够有效检测出颗粒在聚合物熔体界面的本征流变行为。

图1. 多层夹心结构界面流变测试模型示意图

图2. Janus颗粒增容PMMA/PS共混体系的加权松弛时间谱图和体系松弛时间τF和τβ的对颗粒浓度的依赖性。

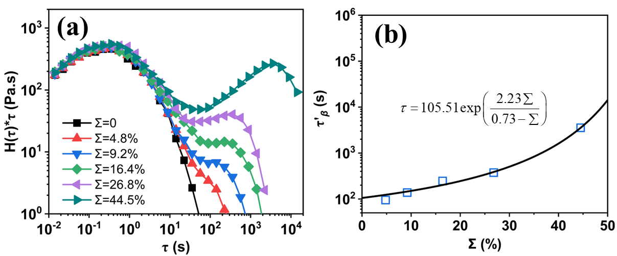
图3. 不同JNPs界面覆盖率(Σ)的多层夹心结构体系的加权松弛时间谱和颗粒本征界面松弛时间(τ''β)的Σ依赖性
该工作以 “Understanding the Rheology of Polymer–Polymer Interfaces Covered with Janus Nanoparticles: Polymer Blends versus Particle Sandwiched Multilayers”为题发表在Macromolecules上。论文第一作者为福建师范大学化学与材料学院博士研究生乔华伟,通讯作者为章华桂教授。该工作得到了国家自然科学基金(21903015; 22172028; 22111530080)的支持,以及比利时鲁汶大学P. Moldenaers课题组和法国INSA-Lyon A. Maazouz课题组的帮助。
文章链接:https://doi.org/10.1021/acs.macromol.2c01973
版权与免责声明:中国聚合物网原创文章。刊物或媒体如需转载,请联系邮箱:info@polymer.cn,并请注明出处。
(责任编辑:xu)
相关新闻
- 希腊FORTH研究所D. Vlassopoulos、李本科:设计CPP-R夹具优化流变测量方法-精准表征聚合物熔体的法向应力差 2025-03-12
- 上海交大俞炜教授课题组 Macromolecules:聚合物熔体拉伸流变中π-π堆积和侧链自稀释效应的协同分子机制 2025-03-04
- 西南大学张贻川、郭鸣明 Macromolecules:含界面反应的聚合物熔体动态润湿行为 2023-02-17
- 青科大乌皓/段咏欣/张建明Macromolecules:聚甲基丙烯酸甲酯接枝纤维素纳米晶在聚乳酸对映体共混物中选择性成核机制研究 2025-03-05
- 格罗宁根大学Andrea教授/爱荷华州立大学夏文杰教授 Macromolecules:接枝改善石墨烯分散 2025-01-09
- 中科院理化所江雷院士、王京霞研究员团队 Adv. Mater.: 在光致变色智能窗方面取得新进展 2023-11-21
- 上海交大申涛团队/陈向洋团队 Angew:光电协同助力聚苯乙烯塑料发散性升级回收 2025-06-15