液晶分子是一种新型的高分子材料,具有液体流动性的同时又能保持一定的有序性。由于其独特的光学、机械和电化学性能,它在显示技术、传感器、光子学和智能材料等多个领域展现出广泛的应用潜力。大量的实验研究表明,由刚性主链、两个柔性末端链和一个柔性侧链组成的T型液晶分子可以自组装成多种有序纳米结构。然而,人们对于这些复杂纳米结构的稳定性和形成机制仍缺乏理解。在这种情况下,准确的数值模拟不仅可以节约成本,还能提供系统的理解。
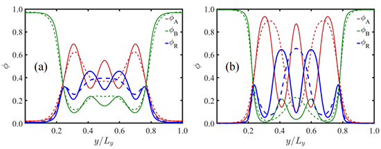
近期,湘潭大学蒋凯团队、武汉大学/北京大学张平文团队以及麦克马斯特大学史安昌团队利用自洽场理论,建立了考虑液晶相互作用的T型液晶分子模型(图1)。针对该复杂且计算昂贵的数学模型,他们发展了一套高效并行的计算方法,并聚焦于相互作用强度和侧链长度对相行为的影响。研究结果表明,随着侧链长度或相互作用强度的增加,多边形的边数逐渐增加(图1)。他们不仅观察到了与实验一致的相序:Smectic - A→Triangle→Square→Pentagon→Hexagon→Hexagon8→Hexagon10→Smectic - P(图2)而且还发现了一系列新的有序结构。这一理论研究不仅成功重现了实验观察到的相与相序,而且系统地分析了多边形相的稳定机理。他们通过这些有序结构的能量变化(图3,4)和密度分布特点(图5),系统给出了相转变机理。该工作为进一步理解液晶分子体系的自组装结构及其形成机理提供了重要线索,有望指导实验发现更多软物质纳米结构。值得注意的是,这项工作突破了数值模拟上的计算困难,为深入理解该领域的其他液晶分子体系自组装相行为提供了坚实的基础。
该工作以“Theory of Polygonal Phases Self-Assembled from T-shaped Liquid Crystalline Molecules”为题发表在《Macromolecules》 上。作者感谢湘潭大学高性能计算平台对这项工作部分计算的支持,以及国家重点研发计划和国家自然科学基金面上项目提供的科研经费支持。
图 1:T型液晶分子自组装结构随着侧链长度的增加的变化。红色、绿色、蓝色分别表示两端柔性嵌段、柔性侧链、刚性主链。
图2:相互作用强度和侧链长度对T型液晶分子自组装相行为影响的相图。
图 3:对应图2中红色虚线χ=0.44下,有序结构的能量变化(以均匀相为基准)。(a) 自由能;(b) 界面能;(c) 指向能;(d) 熵能。
图 4:对应图2蓝色线fB=0.58下Smp-ABR,Hexagon和Hexagon8有序结构的能量变化(以Smp-ABR为基准)。(a) 自由能;(b) 界面能;(c) 指向能;(d) 熵能。
图 5:(a) χ=0.28;(b) χ=0.34 Hexagon (虚线) 和Hexagon8(实线) 的不同单体在Lx/4处的密度分布。红色、绿色、蓝色分别表示单体 A、B、R。
原文链接:https://doi.org/10.1021/acs.macromol.3c02295
- 天津大学浙江研究院“高分子复合材料中心”(宁波)诚聘英才 - 特聘青年研究员/博士后 2025-09-11
- 天津大学浙江研究院“高分子复合材料中心”(宁波)诚聘英才 2024-09-23
- 北科大&北大杨槐/于美娜/王茜团队 JMCA:具有被动辐射冷却和协同太阳光调控能力的智能调光膜 2024-09-10
- 南开大学王粉粉、河北工业大学瞿雄伟/陈胜利 JACS:异步聚合-结晶动力学驱动的分级自组装 - 从V-型缺口球晶到多级防伪材料 2026-03-10
- 郑州大学庞新厂/张文杰/何彦洁教授团队 ACS Nano:多级金纳米团簇组装体的精准胶体聚合 2026-03-06
- 香港中文大学(深圳)唐本忠团队 Nat. Commun.:均聚多肽自组装体系圆偏振室温磷光 2026-02-24
- 暨大刘明贤教授课题组《J. Colloid Interf. Sci.》:甲壳素纳米晶的非球形组装体 2023-08-16