搜索:  
郑大李占伟教授团队 Nano Lett.:Janus粒子自受限自组装构筑强圆二色性纳米螺旋阵列
2025-03-25  来源:高分子科技

  圆二色性作为表征手性体系的重要光学特性,在光谱分析、光学材料及生物传感等领域具有重要的应用前景。具备强圆二色性、极化禁带以及Weyl点特性的纳米螺旋阵列,是极具潜力的光学手性超材料之一。尽管光刻、掠射角沉积和热蒸发等技术能够制备晶胞尺寸较大的螺旋晶体,但受限于高昂的成本和较长的工艺周期,数百纳米级手性螺旋阵列的规模化制备仍面临严峻挑战?。这一技术瓶颈直接阻碍了可见光波段手性光学超材料的研发进程,尤其是对于晶胞尺寸需与光波长严格匹配的等离子体手性螺旋阵列,现有技术难以兼顾其亚波长结构精度与规模化制备需求。


  球形金纳米粒子的最大吸收峰通常位于可见光波段。相较于自上而下的制造策略,自下而上的纳米粒子自组装技术为在可见光波段构筑强圆二色性纳米螺旋阵列开辟了极具前景的途径。Janus纳米粒子作为最简单的表面各向异性构筑基元,可自组装成多种手性螺旋结构并呈现显著的手性光学效应。研究表明,圆柱形空间受限可诱导粒子组装形成螺旋结构,而他们的前期研究亦证实Janus 纳米粒子可自组装形成六方柱状结构,其柱内空间可为粒子提供圆柱形的自受限环境。因此,Janus 纳米粒子的自受限自组装为构筑手性螺旋阵列提供了一种高效且可控的方案。然而, Janus 纳米粒子直接自组装形成手性纳米螺旋阵列的构筑策略、形成机制及其圆二色性响应规律仍不清楚。因此,基于前期已发展的补丁粒子模型(Soft Matter, 8, 6693, 2012; Soft Matter, 12, 741, 2016; Soft Matter, 14, 7625, 2018; J. Phys. Chem. Lett., 12, 8872, 2021; J. Phys. Chem. Lett., 12, 7159, 2021)及介观动力学模拟方法,郑州大学李占伟特聘教授团队针对Janus纳米粒子的自组装行为进行了系统的理论模拟研究,成功构筑了一系列具有强圆二色响应的手性纳米螺旋阵列,并提出了基于Janus粒子自受限自组装构筑手性纳米螺旋阵列的新策略。


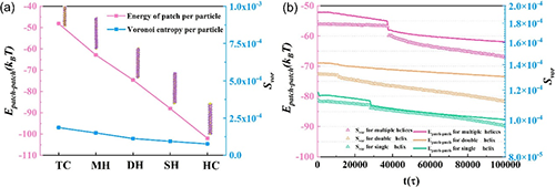
  图1展示了他们提出的手性纳米螺旋阵列自受限自组装构筑策略。Janus纳米粒子首先组装形成柱状结构,为柱内粒子提供自受限环境,进而诱导柱内粒子排列形成螺旋结构。如图2所示,Janus粒子通过自受限自组装形成了一系列高度有序的手性纳米螺旋阵列(图2b-d),通过调节体系数密度,可实现螺旋阵列从单螺旋到多螺旋的调控,同时可实现螺距从小到大的调节(图2i)。图3热力学分析表明,手性螺旋阵列中补丁间的吸引能明显低于其他非手性螺旋结构,且其形成过程中补丁焓与 Voronoi 熵均呈递减趋势,证实该体系的自发手性对称性破缺主要由补丁焓主导。图 4 揭示了双螺旋阵列形成的动力学机制:其形成经历了两步自组装过程,Janus 纳米粒子首先自组装形成柱状结构,并逐渐沿轴向定向排列(图 4b-d),随后在自受限效应驱动下逐渐排列成双螺旋结构(图 4e-g),最终形成长程有序的纳米双螺旋阵列。离散偶极近似(DDA)光学模拟表明(图5),手性纳米螺旋阵列在可见光波段呈现强圆二色响应和高g-factor特性。


图1:手性纳米螺旋阵列自受限自组装构筑策略示意图。


图2:Janus纳米粒子自受限自组装形成手性螺旋阵列。(a)Janus纳米粒子自组装相图。(b)- (c)  手性螺旋阵列的典型形貌图。(d)- (i) 手性螺旋阵列的结构特征。


图3:补丁焓及Voronoi熵分析。(a)不同螺旋阵列及非手性柱状结构的补丁焓及Voronoi熵。(b)手性螺旋阵列形成过程中补丁焓及Voronoi熵的变化。


图4: 手性螺旋阵列形成的动力学机制。 (a) 螺旋阵列形成过程中的序参数变化,以及(b)-(g)形成过程中的典型形貌图。


图5: 手性纳米螺旋阵列可见光波段的圆二色谱及g-factor谱。


  总之,本工作提出了一种补丁焓驱动的自下而上自组装策略,通过Janus纳米粒子自受限自组装成功构筑了手性纳米螺旋阵列。介观动力学模拟结果表明,补丁焓驱动了柱状结构内螺旋结构的逐步形成,手性纳米螺旋阵列的形成过程遵循?典型的两步自组装机制,Janus纳米粒子首先自组装形成柱状自受限环境,随后在该受限空间内实现螺旋超结构的精准构筑。热力学分析结果表明,补丁焓的降低主导了手性对称性自发破缺过程。而且,所构建的手性纳米螺旋阵列同时展现出可见光波段?强圆二色性响应?与?高g-factor特性?。因此,上述补丁焓驱动的自受限自组装策略为手性光学超材料的理性设计与功能化应用提供了新思路。


  该工作近期以“Nanohelix Arrays with Giant Circular Dichroism through Patch-Enthalpy-Driven Self-Confined Self-Assembly of Janus Nanoparticles”为题发表在 Nano Letters 2025, 25, 11, 4540–4548上。郑州大学化学学院孙玉伟博士为该论文的第一作者,李占伟特聘教授为该论文的通讯作者。本研究工作得到了国家自然科学基金、河南省杰出青年基金、郑州大学科研启动基金资助。


  论文信息:Yu-Wei Sun, Zhan-Wei Li*, Nanohelix Arrays with Giant Circular Dichroism through Patch-Enthalpy-Driven Self-Confined Self-Assembly of Janus Nanoparticles, Nano Letters 2025, 25, 11, 4540–4548.

  原文链接:https://doi.org/10.1021/acs.nanolett.5c00408

版权与免责声明:中国聚合物网原创文章。刊物或媒体如需转载,请联系邮箱:info@polymer.cn,并请注明出处。
(责任编辑:xu)
】【打印】【关闭

诚邀关注高分子科技

更多>>最新资讯
更多>>科教新闻