近日,南方科技大学材料科学与工程系郭旭岗教授课题组在Advanced Materials上发表利用氰基来构建具有超窄带隙n型高分子受体材料及其在全聚合物太阳能电池的最新研究进展。
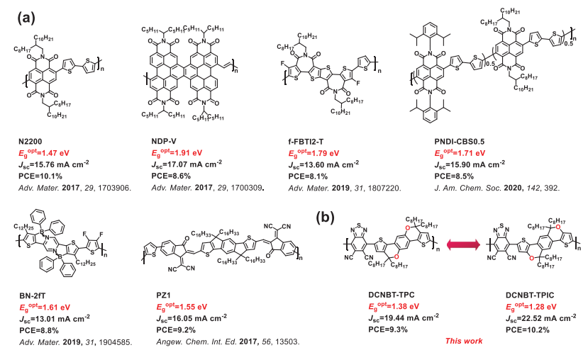
受益于在近红外区域吸收上的突破,基于非富勒烯小分子受体材料的有机太阳能电池取得了超过16%的能量转换效率。然而,由于n型高分子受体材料的带隙通常较宽,在长波区域吸收有限,因此全聚合物太阳能电池的能量转化效率相对较低。目前,大部分高性能高分子受体材料都是基于含酰亚胺的缺电子单元构建,主要以长期以来广泛使用的苝二酰亚胺(PDI)和萘二酰亚胺(NDI),以及最近发展的梯状双噻吩酰亚胺(BTIn)等为主(图 1)。虽然基于PDI和NDI的高分子受体材料取得了较大的成功,但是由于其相对宽的带隙和在近红外区域较弱的吸收,最近基于PDI和NDI高分子的全聚合物太阳能电池发展相对缓慢,吸收不足也成为限制全聚合物太阳能电池性能进一步提升的瓶颈。图1总结了近年来具有代表性的n-型高分子受体材料及其在全聚合物太阳能电池中取得的短路电流和能量转换效率。可以明显发现,所有高性能的高分子受体材料所制备的全聚合物太阳能电池的短路电流密度都小于19 mA cm-2(图 1),远低于基于非富勒烯小分子受体材料构建的有机太阳能电池的短路电流密度值。因此,发展在近红外区域具有强、宽吸收特性和优异电荷传输性能的新型n型高分子半导体对突破全聚合物太阳能电池短路电流以及能量转换效率较低的关键问题十分重要。
图1 (a)文献中报道的代表性的高分子受体材料和其制备的全聚合物太阳能电池短路电流密度及能量转换效率;(b)本论文报道的具有超窄带隙的n型高分子半导体及其全聚合物太阳能电池短路电流密度及能量转换效率。
由于氰基的强拉电子能力, 5,6-二氰基-2,1,3-苯并噻二唑(DCNBT)是一个高度缺电子单体,同时将是构建高性能n型高分子半导体的重要单元。为解决现有高分子受体材料吸收上的不足,本工作将DCNBT引入到高分子主链,利用“强给体-强受体”构建窄带隙高分子半导体的设计策略。通过使用含氧桥联的引达省单元与DCNBT聚合构建了两个n型高分子半导体DCNBT-TPC和DCNBT-TPIC(图 1)。由于其强分子内电荷转移特性,在固体薄膜中,高分子DCNBT-TPC的吸收主要集中在600-900 nm,其异构体DCNBT-TPIC的吸收峰更为红移,吸收主要集中在600-950 nm(图2)。DCNBT-TPC和DCNBT-TPIC取得了超窄带隙(1.38 eV和1.28 eV)并在长波区域具有很强的吸收能力,这样的吸收特性打破了长期以来限制高分子受体材料在全聚合物电池中性能的瓶颈。
DCNBT的引入能使高分子具有一定的共面性,并在薄膜状态具有不错的结晶性。用DCNBT-TPC和DCNBT-TPIC作为电子传输层制备的有机场效应晶体管分别获得了高达1.72和0.16 cm2 V-1 s-1的电子迁移率,该迁移率与经典的n型高分子半导体材料N2200相当,甚至更高。当使用p型高分子半导体PBDTTT-E-T作为给体材料时,基于DCNBT-TPC制备的全聚合物太阳能电池器件获得了19.44 mA cm-2的短路电流密度和9.26%的能量转换效率。令人欣慰的是基于DCNBT-TPIC制备的全聚合物太阳能电池器件获得了高达22.52 mA cm-2的短路电流密度和10.22%的能量转换效率(图2)。值得注意的是,基于DCNBT-TPIC的全聚合物太阳能电池是第一个使用具有超窄带隙的n型高分子受体取得超过10%的能量转化效率和光响应达到950 nm的器件。这表明氰基可以用来构建具有超窄带隙高分子受体材料并取得了优异的全聚合物太阳能电池性能,也反映了氰基作为强拉电子基团能明显提升高分子半导体的n型器件性能。
图2(a)高分子给体材料PBDTTT-E-T、高分子受体材料DCNBT-TPC和DCNBT-TPIC在薄膜态的紫外-可见吸收光谱;(b)PBDTTT-E-T、DCNBT-TPC和DCNBT-TPIC能级示意图;(c)全聚合物太阳能电池的电流-电压特征曲线;(d)全聚合物太阳能电池外量子效率特征曲线。
该论文以题为“High-Performance All-Polymer Solar Cells Enabled by n-Type Polymers with an Ultranarrow Bandgap Down to 1.28 eV”发表在Advanced Materials上。冯奎博士为该工作的第一作者,郭旭岗教授为通讯作者。该工作得到了中国博士后科学基金(2019M662696)和深圳市基础研究面上项目(JCYJ20190809162003662、JCYJ20180504165709042和JCYJ20170817105905899)的资助。
原文链接:https://onlinelibrary.wiley.com/doi/epdf/10.1002/adma.202001476
课题组网址:http://faculty.sustech.edu.cn/guoxg/
- 武汉大学刘抗教授团队《Adv. Mater.》:全聚合物超轻翅片实现高效光伏降温增效和生态修复 2025-06-24
- 西工大刘剑刚教授团队 AFM:揭示准平面异质结全聚合物光伏电池形貌演变机制 2025-03-20
- 哈工大何思斯/浙大范修林 Nature子刊:未来电池新方向 - 绿色环保的柔性全聚合物水系电池,让能源“用得久”、设备“穿得起” 2024-12-16
- 湖南科技大学张光军课题组 Macromolecules:新型不对称给体聚合物基太阳能电池 - PCE高达19.79% 2025-12-28
- 南昌大学/江西师大陈义旺课题组 AM:通过图案半月板控制溶液流动有助于延长激子扩散长度-准平面异质结有机太阳能电池效率接近20% 2025-05-22
- 南科大何凤教授、华科大邵明教授 Angew:新型柔性连接电子受体助力高性能可拉伸有机太阳能电池 2025-03-13