基于多重氢键交联的聚氨酯脲弹性体具有优异的机械性能,是高性能热塑性弹性体的理想候选材料。然而,由于氢键的动态特性,它们易受热、水或溶剂的影响,导致机械性能的快速下降。开发兼具机械强度、环境稳定性和可持续性的热塑性弹性体已成为该领域的重点研究方向。
近日,香港中文大学(深圳)朱贺助理教授课题组在前期工作基础上报道了一种由聚己内酯(PCL)、六亚甲基二异氰酸酯(HDI)和十二烷二酸二酰肼(DD)构成的高强度聚氨酯脲弹性体。优化后的PCL-1.67DD弹性体室温时展现出超高的机械性能,其拉伸强度为77.7 MPa,韧性为629.8 MJ m?3,断裂能为642.3 kJ m?2,在120 °C高温下韧性仍高达264.2 MJ m?3。该弹性体在pH 2-12的水溶液中溶胀率极低,对多种有机溶剂展现出了优异的耐受性,且表现出优异的可降解性和可回收性。
2026年2月20日,该工作以“Mechanically Robust Poly(urethane-urea) Elastomers Under Extreme Temperatures, Humidity, and Solvent Exposure”为题发表在Advanced Functional Materials上。论文第一作者香港中文大学(深圳)理工学院博士生秦剑亮(现为大连理工大学助理研究员),通讯作者为香港中文大学(深圳)理工学院朱贺助理教授。该工作得到了香港中文大学(深圳)朱世平教授的大力支持。
该设计核心为通过优化硬段的含量,在不牺牲氢键结合效率的前提下,显著提高了氢键总数,从而确保形成了更具聚集性和稳定性的硬段团簇,使其能够有效抵抗热、水或溶剂的破坏。DFT计算和分子动力学模拟验证了这一设想。

图1. (a) PCL-DD、PCL1.33DD和PCL-1.67DD弹性体的合成路线,(b) 基于DFT计算得到的含三个扩链剂(DD)的硬段二聚体的优化结构和结合能,(c) 通过分子动力学模拟优化得到的PCL-DD、PCL-1.33DD和PCL-1.67DD弹性体的硬段聚集结构和氢键结合效率
所制备的三种弹性体均表现出优异的力学性能,且随着HDI和DD比例的增加,力学性能呈现明显的增加趋势。该结果表明适当优化硬段组分的比例可有效增加聚合物网络中的氢键数量,从而提高其机械强度和韧性。

图2. PCL-DD、PCL-1.33DD和PCL-1.67DD弹性体的(a)工程应力-应变曲线和(b)真实应力-应变曲线, (c) PCL-1.67DD断裂能测试,(d)强度和韧性与现有文献比较,(e)韧性和断裂能与现有文献比较,( f ) 1D – SAXS测试曲线,(g) FTIR光谱,(h)PCL-1.67DD弹性体FTIR光谱及其子峰,(i)PCL-1.67DD弹性体在不同应变下的XRD测试。
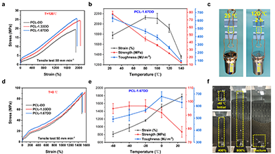
弹性体在极端温度下的机械性能下降是其在严苛环境下应用的主要障碍之一。该研究报道的三种弹性体在120 °C和-40 °C的极端温度下仍表现出优异的机械性能,且优化后的PCL-1.67DD弹性体整体表现突出,证实了硬段结构优化的必要性。

图3. (a)弹性体在120 °C时应力-应变曲线,(b) PCL-1.67DD弹性体机械性能随温度升高的变化,(c) PCL-1.67DD弹性体样品在120 °C时的热稳定性展示,(d)弹性体在0 °C的应力-应变曲线, (e) PCL-1.67DD弹性体机械性能随温度降低而变化,(f)PCL-1.67DD 弹性体在-40 °C下拉伸至不同应变的实物演示。
得益于弹性体内稳固的氢键网络,三种弹性体在多种有机溶剂中均展现出较低的溶胀率,且干燥后几乎无质量损失。PCL-1.67DD更多的氢键网络促使其呈现出了更好的溶剂耐受性,尤其是在水溶液中几乎不会受到影响。作为直观的演示,仅依赖于氢键实现物理交联的PCL-1.67DD弹性体在60 °C四氢呋喃中浸泡一周后仅展现出轻微的溶胀而不溶解。

图4. 弹性体在室温下浸泡于不同有机溶剂1天后的(a)溶胀率和(b)剩余质量分数,PCL-1.67DD弹性体在(c)不同pH值的水中浸泡1天后(未干燥)的应力-应变曲线以及(d)不同有机溶剂中浸泡1天后(干燥)的应力-应变曲线, (e) PCL-1.67DD弹性体在四氢呋喃中于60 ℃加热7天前后的实物展示
朱世平教授团队长期招收博士后、博士生和硕士生,请有意者准备好完整的中、英文简历,代表文章PDF(若有)发送至邮箱:zhuhe@cuhk.edu.cn(朱老师)和qizhang@cuhk.edu.cn(张老师)。
原文链接:https://advanced.onlinelibrary.wiley.com/doi/10.1002/adfm.202529017
- 北京化工大学岳冬梅教授团队 AFM:兼具卓越室温自修复、可回收与极端温度力学稳定性的高强度聚脲弹性体 2025-12-11
- 郑大刘春太教授/刘虎副教授、纳米能源所潘曹峰研究员:强健超弹的蜘蛛网状聚酰亚胺纤维基导电复合气凝胶用于极端温度下的线性压力传感器 2023-05-12
- 清华大学李琦课题组《Nat. Commun.》: 高分子结构单元定制组装策略实现250℃极耐温介电储能 2023-04-28
- 合工大胡颖团队 AFM:植物叶片启发的可编程形变与湿致变色软体驱动器 2026-03-28
- 宁波材料所陈涛/肖鹏团队《Adv. Mater.》: 柔性凝胶电子器件实现吸湿-解吸实时监测与智能化湿度管理 2026-02-05
- 中国矿大(北京)王萌/北大杨槐 AFM:提出一种“化学门控氢键”策略 - 实现蓝相液晶聚合物薄膜在湿度响应中的多功能集成 2025-11-12
- 天津工业大学林佳弘特聘教授/李婷婷副教授课题组 CEJ: 仿树皮状MXene基高输出功率水伏发电机的制备和研究 2023-10-16