美国奥本大学张新宇教授:高性能聚吡咯涂层在防腐和抗菌方面的应用
2017-09-07 来源:中国聚合物网
奥本大学化工系张新宇教授与合作者最近在Applied Surface Science上发表了一篇文章,详细探讨了导电聚合物聚吡咯在低碳钢表面粘接强度的优化,以及防腐和抗菌两方面的应用。
文章通过线性电位动力学研究在碳钢表面电化学沉积的酸性掺杂剂所掺杂的聚吡咯(PPy)涂层对低碳钢表面钝化及防腐性能的影响。掺杂剂包括对甲苯磺酸(p-TSA),硫酸(SA),(±)樟脑磺酸(CSA),十二烷基硫酸钠(SDS)和十二烷基苯磺酸钠(SDBS)。
文中提到聚合物涂层的形貌以及掺杂剂的类型与涂层抗腐蚀性能有着紧密的关联。掺杂剂的类型,及其在导电聚合物主链中的尺寸和排列有助于提高金属表面对氯离子腐蚀的保护效率。例如,掺杂剂p-TSA和SDBS结构中都有苯环,依靠其π键堆叠形成片状结构阻挡氯离子,从而使它们成为更适合聚吡咯涂层的掺杂剂。
更有意思的是,SDBS不光提高聚吡咯涂层的防腐性能,更是显示出优异的抗金黄色葡萄球菌的杀菌能力。具有耐腐蚀和抗菌性能的双功能聚吡咯涂层在工业应用中具有很大的应用前景。
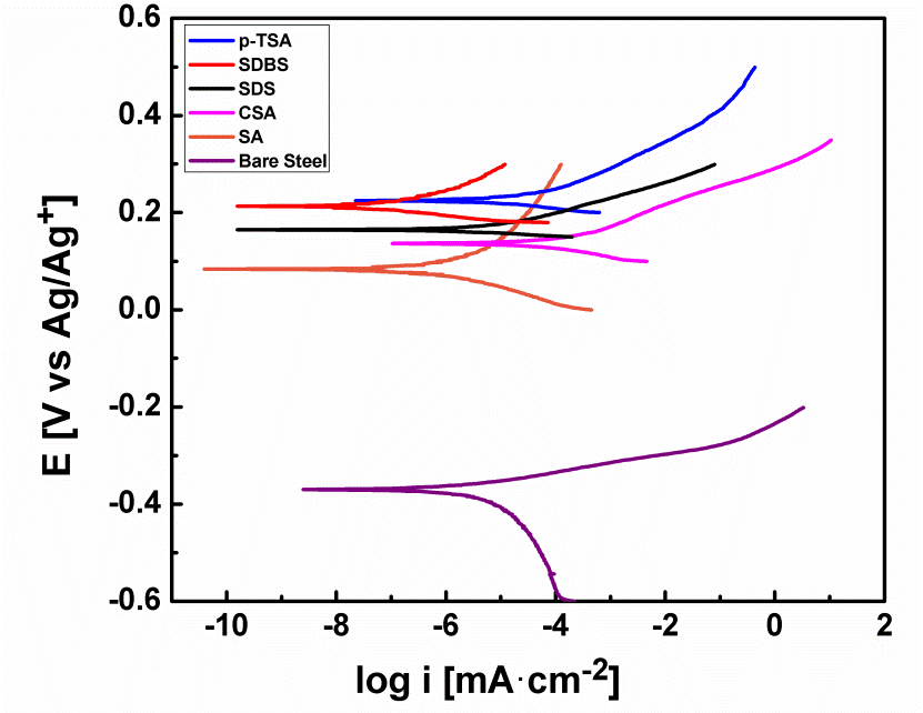
如图中所示,将得到的塔菲尔曲线进行比较,四种不同掺杂剂掺杂的聚吡咯涂层对碳钢防腐蚀性能都有显著提高,尤其是SDBS和p-TSA两种掺杂体系将腐蚀电位提高了将近600 mV。
论文链接:http://www.sciencedirect.com/science/article/pii/S0169433217324285
张新宇教授课题组链接:http://www.eng.auburn.edu/users/xzz0004/
版权与免责声明:本网页的内容由中国聚合物网收集互联网上发布的信息整理获得。目的在于传递信息及分享,并不意味着赞同其观点或证实其真实性,也不构成其他建议。仅提供交流平台,不为其版权负责。如涉及侵权,请联系我们及时修改或删除。邮箱:info@polymer.cn。未经本网同意不得全文转载、摘编或利用其它方式使用上述作品。
(责任编辑:xu)
相关新闻
- 东华大学陈志钢教授团队 AFM: 仿生设计碳纤维/二氧化钛@聚吡咯光热-电热织物用于全天候海水蒸发 2025-02-15
- 广工闵永刚/黄锦涛团队 ACHM:用于集成热管理和电磁波吸收的高性能聚酰亚胺/聚吡咯-碳纳米管@PCM复合材料 2025-01-10
- 东华大学曹雪雁/史向阳团队 AHM:仿生聚吡咯壳聚糖纳米凝胶共递送药物和基因实现转移性前列腺癌的高效治疗 2024-04-30
- 阿尔伯塔大学曾宏波/郑州大学杨闻帅团队 AFM:离子诱导构筑仿生装甲 - 强化水凝胶涂层防污防腐 2025-10-22
- 宁波材料所薛群基/王立平团队《ACS Nano》:全海深防污/防腐一体化涂层最新进展 2025-09-17
- 中山大学顾林课题组 CEJ:基于簇发光标记,实现环氧防腐涂层中氮化硼纳米片分散的原位三维可视化与定量分析 2025-08-22
- 湖北大学张玉红/陈朝霞、湖北工程学院刘勇Compos. Part B:具有光热转换、抗菌、耐久性超疏水海绵用于油水分离和原油回收 2025-09-30