热固性树脂是轻量化汽车、航天航空器、风电、太阳能电池、电子电器等关键结构材料之一。由于永久交联,传统热固性材料回收难,造成环境污染与资源浪费,各国相继出台了“谁生产谁回收”等严厉政策。基于动态可逆共价键发展易回收(降解回收与重塑回收)热固性树脂,具有保护环境和节约资源双重功效,是高分子领域重要的发展方向之一。然而由于动态可逆共价键的存在,易回收热固性树脂普遍在较低温度下即会发生蠕变,导致尺寸稳定性差,从而限制了其在结构材料中的应用。
中国科学院宁波材料技术与工程研究所生物基高分子材料团队马松琪研究员等人针对这个问题,发展了席夫碱反应原位形成金属配位键的方法,大幅提升了席夫碱型易回收热固性树脂的高温抗蠕变性能(Macromolecules,2020,53,2919-2931),并提出了初始蠕变温度的概念;同时从动态共价键角度出发,基于动态缩醛发展了活化能高的可重塑热固性树脂,实现了高温(≥100℃)不蠕变(J. Mater. Chem. A 2019,7,18039-18049;Macromolecules 2020,53,1474-1485)。
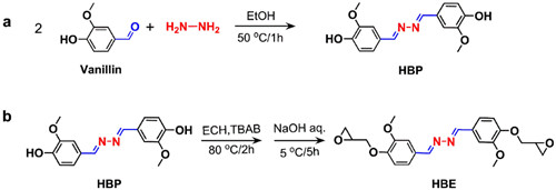
图1 a)HBP和b)HBE的合成路线
最近,研究人员设计合成了兼具稳定性与可逆性质的动态腙(C=N-N=C)结构,发展了基于腙结构的新型可重塑热固性树脂,初始蠕变温度可达~105℃。首先,以木质素衍生物香草醛为原料,利用其结构中醛基与肼的反应制备含有腙基的二酚,进而环氧化得到含腙键的环氧单体HBE(图1)。其次,分别使用柔性固化剂聚醚胺D400和刚性固化剂异佛尔酮二胺(IPDA)固化制备出玻璃化转变温度分别为76℃和146℃的可重塑热固性树脂(HBE-D400和HBE-IPDA),初始蠕变温度可达~105℃(图2),说明蠕变不受玻璃化转变温度控制;继续升高温度,树脂又可发生松驰,从而拥有重塑回收性能。小分子模型研究发现,动态腙本身在100℃下不发生动态交换反应,说明了高温抗蠕变性能主要由动态腙本身决定(图3)。此外,腙键的引入还赋予了该种可重塑热固性树脂优异的可控降解回收性、抗菌性及热机械性能。
图2 a)HBE-D400和DER331-D400,b)HBE-IPDA在不同温度下的蠕变曲线;蠕变测试中c)不发生蠕变和d)发生蠕变的示意图
图3 a)腙键交换反应示意图;b)模型化合物DBH和BMH及两者在100℃和150℃反应后的GC-MS谱图
相关工作发表在J. Mater. Chem. A,2020,DOI:10.1039/D0TA01419B上。
以上工作得到国家自然科学基金(51773216)、中科院青年创新促进会会员(2018335)和浙江省自然科学基金(LQ20E030005)的支持。
论文链接:https://doi.org/10.1039/D0TA01419B
- 宁波大学赵传壮和天津工业大学张佳玮 Soft Matter: 具有可重塑永久形状和可编程冷诱导形变的形状记忆水凝胶 2024-01-05
- 东华大学何创龙教授团队《Adv. Funct. Mater.》:3D生物打印支架重塑神经调节微环境促进骨再生 2023-06-02
- 西安交大张彦峰教授团队 AFM:可重塑、强机械性能的聚硫氨酯共价可适网络的可重构4D打印 2022-06-10
- 青科大李琼、浙大李志波 Adv. Mater.:利用缩氨硫脲动态键构筑动态共价-超分子协同网络 实现高性能可回收热固性树脂 2026-02-13
- 中北大学王智教授团队 Polymer:基于燃烧合成法的苯并噁嗪低温固化的研究 2025-05-28
- 扬州大学吴德峰教授团队 Biomacromolecules:聚(己内酯-苹果酸)热固性树脂的网络结构调控 2025-03-17