有机硅弹性体因其优异的耐高低温、耐候性和耐臭氧等独特的性能,在航天、航空及核工业领域具有广泛的应用潜力。然而,太空中的高能射线会导致其发生辐射交联或辐射降解,显著降低材料性能。传统的耐辐照金属添加剂通常需添加超过20%的质量份数才能有效改善有机硅弹性体的耐辐照性能,由此带来的相容性变差和密度增加严重影响材料的机械性能和使用成本。因此,开发兼具优异耐辐照性能和机械性能的有机硅弹性体尤为关键。
	
  针对上述问题,山东大学周传健教授课题组近日基于相互增强策略研制出一种钙钛矿纳米晶-聚甲基三氟丙基硅氧烷复合弹性体材料(PNCs-PMFS),在300 KGy γ射线持续辐照下展现了优异的耐辐照性能,这归因于钙钛矿纳米晶(PNCs)能够高效清除辐照过程中PMFS产生的活性自由基,从而抑制对有机硅弹性体的破坏。此外,PMFS中的CF3偶极子与PNCs之间的离子-偶极子相互作用进一步增强了PNCs的稳定性,进而显著提升了复合材料在高能射线辐照下的机械性能。PNCs-PMFS作为X射线成像闪烁屏,该复合材料实现了19.0 lp mm?1的空间分辨率和3.78 μGy s?1的探测限,为高能辐照环境下X射线探测器的设计提供了全新思路。相关工作以“Ultra Stable X-ray Imaging through a Mutually Reinforcing Strategy between Perovskite Nanocrystal-Polymethyltrifluoropropylsiloxane”为题发表在《Advanced Functional Materials》期刊上。
	
	 
	图1. PNCs-PMFS复合材料的柔韧性能和机械性能展示。
	
  得益于PNCs与PMFS之间较强的离子-偶极子相互作用,使得PNCs在PMFS具有良好的分散性和相容性。并且该PNCs-PMFS复合材料经过强烈的扭曲、弯折和拉伸等机械形变后仍可以完全恢复到初始状态,展现了优异的柔韧性和机械性能。
	
	 
	图2. PNCs-PMFS复合材料的结构和相互作用表征。
	
  透射电子显微镜显示PNCs呈立方相形态且尺寸分布均匀,XRD分析证实PNCs为立方相结构,X射线光电子能谱检测到F1s信号,证实了CF?偶极子的引入,且Pb 4f峰向高结合能移动,表明PNCs与PMFS间存在较强的离子-偶极子相互作用。
	
	 
	图3. PNCs-PMFS复合材料的光学性能与稳定性表征。
	
	 
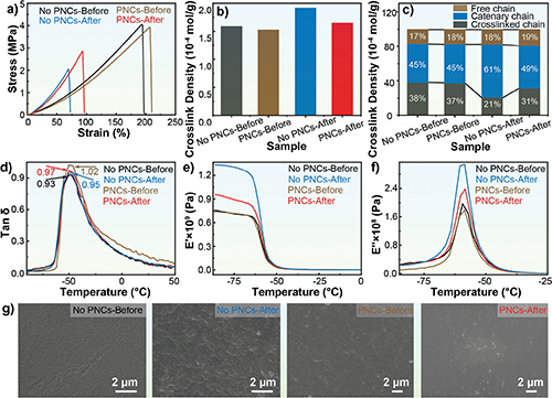
	图4. PNCs-PMFS复合材料的耐辐照性能表征。
	
  该有机硅弹性体在高低温循环,紫外光照和X射线照射下展现了优异的稳定性,其机理主要归结为PNCs和PMFS之间较强的离子-偶极子相互作用,有效钝化了PNCs表面的缺陷,显著增强了PMFS有机硅弹性体在高能射线环境中的耐辐照性能。在300 KGy γ射线辐照后, PNCs-PMFS有机硅弹性体的机械强度仅从3.92 MPa降至2.86 MPa,展现出优异的耐辐照性能。低场核磁共振和动态热机械分析结果表明,PNCs的引入有效抑制了PMFS在辐照过程中交联密度的过度增加。扫描电子显微镜表明,添加PNCs的复合材料在辐照后表面仍保持完整的连续相结构。因此,PNCs的存在有效缓解了γ射线对有机硅弹性体的降解作用。
	
	 
	图5. PNCs和亚甲基自由基相互作用机制的理论计算表征。
	
  研究团队进一步通过理论计算探讨了PNCs对PMFS弹性体耐辐照性能的增强机理:差分电荷密度分析显示, PNCs与自由基之间存在显著的界面电荷转移,该现象在电荷位移曲线的界面结合区域得到了验证。PNCs吸附亚甲基自由基前后的电子局域函数表明,PNCs吸附自由基后,顶部的电荷局域密度图呈现不对称分布,表明自由基对Pb原子的电子云具有明显的吸引作用。此外,态密度分析进一步表明,PNCs在吸附自由基后,其态密度图在费米能级(0 eV)处出现了新的峰位,证明自由基与PNCs形成了新的杂化轨道,其中杂化轨道的主要贡献来源于Br、C和Pb原子,表明其形成了稳定的共振结构。
	
	 
	图6. PNCs对自由基的清除效应机制。
	
	
	图7. PNCs-PMFS复合材料闪烁屏在X射线成像方面的应用。
	
	  研究团队通过自旋电子耦合,光致发光光谱和有机硅弹性体的硫化曲线进一步证明了PNCs可以有效降低体系内自由基的浓度。该有机硅复合弹性体在高能射线辐照下展现出了良好的机械强度,因此,作为X射线探测器被应用于X射线成像方面。与传统闪烁体BGO相比,PNCs-PMFS复合材料具有更高的辐射发光强度和更低的检测限(3.78 μGy/s),并且空间分辨率高达19.0 lp/mm,能清晰地显示电子芯片内部的精细电路,对不同厚度的电子芯片均展现了优异的成像性能。
	
	  论文的第一作者是山东大学材料科学与工程学院的博士研究生郑玮,通讯作者为山东大学材料科学与工程学院的王华副研究员和周传健教授。该研究得到了国家自然科学基金、山东省自然科学基金联合基金、山东省重大创新工程等项目的资助和支持。
	
  周传健教授课题组长期从事高性能有机硅材料的研究,课题组长期招收优秀博士后、博士研究生,欢迎从事特种有机硅弹性体合成、加工等领域的优秀青年教师加盟课题组。
	
	  【文章链接】 Ultra Stable X-Ray Imaging Through a Mutually Reinforcing Strategy Between Perovskite Nanocrystal-Polymethyltrifluoropropylsiloxane
	  https://onlinelibrary.wiley.com/doi/10.1002/adfm.202418944